1/313
Looks like no tags are added yet.
Name | Mastery | Learn | Test | Matching | Spaced | Call with Kai |
|---|
No analytics yet
Send a link to your students to track their progress

adriamycine (doxorubicine)
antracycline
a) DNA intercalatie
anti-tumoraal middel
b) humaan topoisomerase II inhibitor
= anti-neoplastische toepassing (>< leukemie, borstkanker, lymfomen, sarcomen)

daunomycine (daunorubicine)
antracycline
anti-tumoraal middel
a) DNA intercalatie
b) humaan topoisomerase II inhibitor
= anti-neoplastische toepassing (>< leukemie, borstkanker, lymfomen, sarcomen)
idarubicine
antracycline
synthetisch analoog van natuurproduct (daunorubicine)
modificatie: OCH3 => OH
=> hogere cellulaire opname dan daunorubicine
a) DNA intercalatie
b) humaan topoisomerase II inhibitor
= anti-neoplastische toepassing (>< leukemie, borstkanker, lymfomen, sarcomen)
dactinomycine (actinomycine D)
a) DNA intercalator
b) topoisomerase I + topoisomerase II inhibitor
= anti-neoplastische toepassing (>< leukemie, borstkanker, lymfomen, sarcomen)
c) RNA-polymerase inhibitor
amsacrine (acridine)
mitoxantrone (antrachinon)
topoisomerase (I + II) inhibitor
ellipticine
niet meer gebruikt!
a) DNA intercalator
b) topoisomerase II inhibitor
nitrofurantoïne
(2-)nitrofuranen
DNA binding en doorbraak
vorming radicalen en DNA schade in anaeroob milieu
selectief tegen anaerobe organismen
nitrofurazone
(2-)nitrofuranen
DNA binding en doorbraak
vorming radicalen en DNA schade in anaeroob milieu
selectief tegen anaerobe organismen
nifurtoïnol
(2-)nitrofuranen
DNA binding en doorbraak
vorming radicalen en DNA schade in anaeroob milieu
selectief tegen anaerobe organismen
vnl. gebruikt tegen anaerobe infecties (urineweginfecties E.coli)
metronidazol
5-nitroimidazolen
DNA binding en doorbraak
vorming radicalen en DNA schade in anaeroob milieu
selectief tegen anaerobe organismen
vnl. gebruikt tegen anaeobe infecties (protozoa)
tinidazol
5-nitroimidazolen
DNA binding en doorbraak
vorming radicalen en DNA schade in anaeroob milieu
selectief tegen anaerobe organismen
vnl. gebruikt tegen anaeobe infecties (protozoa)
nimorazol
5-nitroimidazolen
DNA binding en doorbraak
vorming radicalen en DNA schade in anaeroob milieu
selectief tegen anaerobe organismen
vnl. gebruikt tegen anaeobe infecties (protozoa)
ornidazol
5-nitroimidazolen
DNA binding en doorbraak
vorming radicalen en DNA schade in anaeroob milieu
selectief tegen anaerobe organismen
vnl. gebruikt tegen anaeobe infecties (protozoa)
bleomycines
DNA binding en doorbraak
vorming ternair complex: BLM-Fe2+-O2
indien geactiveerd reageert het met DNA
doorbraak van DNA keten
t.v.v. nucleobasen (alkali- vs. hydroxidebehandeling)
of propenal gesubstitueerde nucleobasen
antitumoraal
versch. bleomycinen, versch. terminaal AZ gedeelte
(A2, B2, inactief bleomycinezuur -OH)
complexatie met Cu uit bloed na injectie
(dubbele functie: inactief transport en bescherming tegen inactivatie)
in cel: Cu reductief verwijderd
vrij BLM ofwel geïnactiveerd (BLM hydrolase),
ofwel complexeerd tot actief Fe complex
trabectedine
DNA binding en doorbraak
ook DNA akylerend na activatie
anti-tumoraal
tegen gevorderd weke-delen sarcoom
beschadiging en doorbraak waarschijnlijk door productie superoxiden
gevolgd door celapoptosus
chloormethine
2-haloalkylamines (N-mosterds)
meest eenvoudige 2-haloalkylamine
R = CH3
DNA alkylering (direct)
chloorambucil
2-haloalkylamines (N-mosterds)
polaire groep zorgt voor hogere wateroplsobaarheid
DNA alkylering (direct)
estramustine
2-haloalkylamines (N-mosterds)
bevat testosteronanaloog voor binding aan testosteronreceptor
DNA alkylering (direct)
melfalan
2-haloalkylamines (N-mosterds)
DNA alkylering (direct)
bendamustine
2-haloalkylamines (N-mosterds)
DNA alkylering (direct)
busulfan
methaansulfonaten
DNA alkylering (direct)
mono- en bis-alkylering
thiotepa
ethyleenimines
DNA alkylering (direct)
3 ethyleenimines
pathway 1: bisalkylering
pathway 2: alkylering na hydrolyse
dacarbazine
arylazide
DNA alkylering (direct)
vnl. tegen maligne melanomen
na protonering of bio-oxidatie vormt het sterk alkylerende verbindingen
mitomycine C (mitomycin)
DNA alkylering (na activatie via enzymatische reactie)
bioreductie (bioreductieve alkylering)
model 2 en 1
camptothecine
DNA alkylering (na activatie via enzymatische reactie)
bioreductie (bioreductieve alkylering)
model 4
antracyclines (algemeen)
a) DNA intercalatie
b) DNA binding en doorbraak (via vorming van hydroxylradicalen)
c) inhibitie topoisomerase
d) DNA alkylering (model 2 en/of 3)
cyclofosfamide
DNA alkylering (na activatie via een enzymatische reactie)
bio-oxidatie
o.i.v. cytochroom P450 enzymen
cyclofosfamide —> fosforamide mosterd + acoleïne
ifosfamide
werkt op gelijkaardige wijze als cyclofosfamide
DNA alkylering (na activatie via een enzymatische reactie)
bio-oxidatie
o.i.v. cytochroom P450 enzymen
cisplatine
metaalverbindingen
DNA alkylering
cross-linking tss. 2 DNA strengen, tss. G en A, tss. DNA en proteïnen en binnen zelfde DNA streng
ook ketendoorbraak bij reactie met N7 van G
tegen testiculaire kankers
nadelen: nefrotoxisch en resistentie-ontwikkeling
carboplatine
metaalverbindingen
DNA alkylering
vinblastine
vinca-alkaloïden
binden beta-tubuline, verhinderen assemblage (polymerisatie) van microtubuli
anti-tumoraal
- beenmergsuppressie
vincristine
vinca-alkaloïden
binden beta-tubuline, verhinderen assemblage (polymerisatie) van microtubuli
anti-tumoraal
+ klinisch meer bruikbaar (dan vinblastine)
+ geen beenmergsuppresie
vindesine
vinca-alkaloïden
binden beta-tubuline, verhinderen assemblage (polymerisatie) van microtubuli
anti-tumoraal
semi-synthetisch analoog (van vinblastine)
+ lagere neurotoxiciteit
navelbine
vinca-alkaloïden
binden beta-tubuline, verhinderen assemblage (polymerisatie) van microtubuli
anti-tumoraal
semi-synthetisch analoog (van vinblastine)
+ lagere neurotoxiciteit
eribuline
synthetische verbinding afgeleid van natuurproduct (halichondrin B)
anti-tumoraal
blokkeert mitose:
d. binding aan beta-tubulin vertraagt aangroei en verstoord regelmatige vormb van microtubuli
leidt tot apoptotische celdood
paclitaxel (taxol)
taxanen
anti-tumoraal
a) bindt aan beta-tubuline binnenin geassocieerde microtubuli
stabiliseert microtubuli, minder snel afgebroken
leidt tot mitose-arrest
b) >< gemtastaseerde hormoon-refractaire prostaatkanker
voorkomt translocatie van androgeen receptor naar celkern door binding aan microtubuli
signalisatie van androgeenreceptoren onderbroken
chemische synthese van taxol moeilijk
oplossing:
a) extractie precursor uit taxushaag
b) pre-cursor in vitro (celcultuten) aanmaken
docetaxel
semisynthetisch analoog van taxol
+ meer polair, beter wateroplosbaar
carbazitaxel
analoog afgeleid van docetaxel
+ geen taxaanresistentie want geen affiniteit voor efflux-pomp (resistentie tgv. verhoogde expressie ATP afh. pomp in tumorcellen die taxanen exporteert)
colchicine
bindt beta-tubuline t.h.v. bindingspl. alfa-tubuline
=> tubulinedimeer niet meer recht, gebogen
=> geen optimale interacties, minder stabiel, verhoogde afbraak
=> mitosespoel niet functioneel, celdeling geïnhibeerd
indicaties:
>< jicht
o.w.v. onstekingsremmende werking t.h.v. urinezuurkristallen
microtubuli ook onderdeel van cytoskelet (ECM)
transport van eiw., vesikels, organellen
=> verhoogde afbraak microtubuli
=> verminderde adhesie van neutrofielen aan endotheel
=> minder makkelijk naar ontstekingsplaats (diapedese nr. weefsels)
podofyllotoxine
inhibeert microtubuli assemblage
podofyllotoxine (en colchicine) binden aan overlappende plaatsen op tubuline (t.o.v. vinca alkaloïden)
+ zeer sterke binding aan tubuline (doch niet covalent)
=/= epipodofyllotoxinen binden en inhiberen topoisomerase II
(epipodofyllotoxinen werken NIET gedurende metafase van M fase, WEL in S of G2 fase)
>< wratten z. hyperkeratose
foliumzuuranalogen
algemeen
indirecte inhibitie v/d nucleotidesynthese
inhibitie v/d aanmaak co-factoren noodzakelijk voor biosynthese nucleotiden (=> noodzakelijk voor celgroei en -proliferatie)
=> indirecte inhibite van DNA en RNA synthese door tekort bouwstenen
inhibitie dihydrofolaat reductase (DHFR, komt in alle weefsels voor)
dihydrofoliumzuur = ENIGE bron voor tetrahydrofoliumzuur
= achilleshiel (zwaktepunt) voor sneldelende cellen
= ‘het’ doelwit voor meerdere antitimorale GM en antibiotica
a)
DHFR katalyseert hydridetransfer van NADPH cofactor
= reductie dihydrofoliumzuur tot tetrahydrofoliumzuur
(en in beperkte mate reductie foliumzuur tot dihydrofoliumzuur)
b)
serinehydroxymethyltransferase
omzetting tetrahydrofoliumzuur in N5,N10-methyleentetrahydrofoliumzuur
3 versch. oxidatietoestanden => methyleendrager voor…
N5-CH2-N10 => thyminesynthese
N5-CH3 => cobalaminesynthese
N10-CHO => formyldrager voor purinesynthese (A, G)
>< infectieziekten, kanker
methotrexaat
foliumzuuranaloog (-antagonist)
competitieve inhibitor van DHFR
bindt stevig DHFR
inhibitie synthese van tetrahdyrofolaat
(-folaat = foliumzuur)
=> tekort aan nucleotideprecursoren
=> indirecte inhibitie DNA, RNA én eiwit synthese
OOK inhibitor van thymidilaat synthase
EN inhibitie transport van foliumzuur in cellen
- - - resistentie aan methotrexaat:
a) gestegen [ DHFR ]
b) gedaald transport (opname) van methotrexaat
trimethoprim
foliumzuuranaloog (-antagonist)
competitieve inhibitor van DHFR
bindt stevig DHFR
inhibitie synthese van tetrahdyrofolaat
(-folaat = foliumzuur)
=> tekort aan nucleotideprecursoren
=> indirecte inhibitie DNA, RNA én eiwit synthese
+++ bindt veel sterker aan bacteriële DHFRs dan die van gewervelden
=> gebruikt als antibioticum
pyrimethamine
foliumzuuranaloog (-antagonist)
competitieve inhibitor van DHFR
bindt stevig DHFR
inhibitie synthese van tetrahdyrofolaat
(-folaat = foliumzuur)
=> tekort aan nucleotideprecursoren
=> indirecte inhibitie DNA, RNA én eiwit syntheseanti-parasitair
>< toxoplasmose
proguanil
foliumzuuranaloog (-antagonist)
competitieve inhibitor van DHFR
bindt stevig DHFR
inhibitie synthese van tetrahdyrofolaat
(-folaat = foliumzuur)
=> tekort aan nucleotideprecursoren
=> indirecte inhibitie DNA, RNA én eiwit syntheseanti-parasitair
>< malaria
ribonucleotide reductasen
(algemeen)
directe inhibitie van nucleotidesynthese
sommige kunnen in DNA ingebouwd worden en geven frauduleus DNA
RNRs
katalyseren omzetting van ribonucleotiden in deoxyribonucleotiden
= noodzakelijk voor de novo DNA synthese
ENIGE weg voor vorming deoxyribonucleotiden
= snelheidsbepalende stap DNA synthese
allosterische regeling van substraatspecificiteit in R1,2 dimeren
mechanisme katalyse door RNR (zie blz. 49-50)
gemcitabine
2’ gesubstitueerd substraatanaloog
intracellulair gemetaboliseerd tot een 5’ difosfaat
door RNR ‘herkend’ als substraat
=> vorming abnormale reactieproducten
=> RNR enzym verliest katalyse activiteit
cytotoxiciteit van 5’-difosfaat gemcitabine:
a) inhibitie RNP
b) incorporatie in DNA, nog maar met 1 residu verlengd,
=> DNA replicatie vroegtijdig gestopt
>< kanker
fludarabinefosfaat
intracellulair gemetaboliseerd tot een 5’ difosfaat
door RNR ‘herkend’ als substraat
=> vorming abnormale reactieproducten
=> RNR enzym verliest katalyse activiteit
toegediend als 5’ monofosfaat
want specifieke transportsystemen die polaire vorm opnemen
mycofenolaat motefil (prodrug)
mycofenolaat = mycofenolzuur
inosinemonofosfaat dehydrogenase inhibitor
als immunosuppressivum
ribavirine
inhibitor van synthese nucleoside + antiviraal middel
inosinemonofosfaat dehydrogenase (IMDH) inhibitor
als antiviraal GM (zowel tegen DNA als RNA virussen)
breed spectrum, tegen meerdere virussen
>< HCV (Hepatitis-C virus)
eerst gefosforyleerd op 5’ positie door viraal adenosinekinase (weinig substraatspecifiek)
ook di- en trifosfaten van ribavirine (resp. d, mono- en difosfaatkinase)
ribavirinemonofosfaat bindt RNA-pol aan nucleotide bindingspl.
=> voorkomt binding v/d juiste nucleotidetrifosfaten
=> verminderde virusreplicatie, of vorming defectieve virions
=> soms WEL ingebouwd in groeiende RNA keten
maar niet juist afgelezen, promoot mutaties (herkend als A of G)
=> verhoogde frequentie mutaties in virale genoom
=> uitroeiing v/h virus
5-fluorouracil
thymidylaat synthase inhibitor
a)
irriversibele inhibitie
mechanisme:
(1) in vivo omgezet tot 5-fluoro-2’-deoxyrubine-5’-monofosfaat
(= 5-F-dUMP = 5-fluoro-2’-deoxyuridine-5’-monofosfaat
= fluorouracilbase)
(2) bindt enzym (E-SH) irreversibel
(3) co-factor methyleen-THF (tetrahydrofolaat) bindt 5-positie
t.v.v. ternair covalent complex
= 5-FU-enzym-cofactor
=> fluoratoom verhindert de noodzakelijke deprotonering
=> geen synthese dTMP of TMP, geen synthese TTP
(noodzakelijk voor DNA synthese en herstel)
b)
incorporatie in RNA
>< huidkanker, vaste tumoren
- - - in-vivo effect < in-vitro effect
(tgv. resistentieontwikkeling)
permetrexed
thymidylaatsynthase inhibitor
tetrahydrofoliumzuur analoog
als antitumoraal middel in monoglutamaat vorm
>< vaste/solide tumoren
bv. maligne pleurale mesothelioma, non-small-cell longkanker
gemetaboliseerd tot polyglutamaat-verbindingen
= veel krachteriger anti-tumoraal (dan als dusdanig)
glycinamide ribonucleotide formyltransferase inhibitor
- - - dihyrdofolaat reductase (DHFR) maar zwak beïnvloed
(t.o.v. methotrexaat)
nucleosideanalogen (o.b.v. uracil)
sommige worden efficiënt gefosforyleerd door virale kinasen (tot monofosfaat)
kunnen thymidylaatsynthase in geïnfecteerde cellen inhiberen
+++ fosforylatie efficïenter in geïnfecteerde cellen
(>> dan niet-geïnfecteerde)
= selectiviteit van anti-virale middelen!
tabel:
6-mercaptopurine
6-thioguanine
5-fluorouracil
methotrexaat
allopurinol
xanthine oxidase inhibitor
mechanisme
door xanthine oxidase omgezet in oxypurinol
= substraatanaloog = competitieve inhibitor
xanthine oxidase niet functioneel gehouden
=> geen omzetting van (hypo)xanthine tot urinezuur
>< jicht (ophoping urinezuur in weefsels)
febuxostat
selectieve xanthine oxidase inhibitor
kan geen substraat meer binden (hypoxanthine en xanthine)
>< hyperuricemie, jicht
streptolydigine
inhibitie bacterieel RNA-polymerase
bacteriostatisch en/of bactericide
tyrandamycine
inhibitie bacterieel RNA-polymerase
bacteriostatisch en/of bactericide
lipiarmycine
inhibitie bacterieel RNA-polymerase
tyranbacteriostatisch en/of bactericide
mixopyronines
inhibitie bacterieel RNA-polymerase
bacteriostatisch en/of bactericide
corallopyronines
inhibitie bacterieel RNA-polymerase
bacteriostatisch en/of bactericide
sorangivines
inhibitie bacterieel RNA-polymerase
bacteriostatisch en/of bactericide
ansamycines (algemeen)
inhibitie bacterieel RNA-polymerase
bacteriostatisch en/of bactericide
ansa = ‘hendel’ = naftaleenring
specifieke bacteriële RNA-polymerase inhibitoren
BELANGRIJKSTE GROEP!
(o.a. rifamycines en streptovaricines)
rifamycines
inhibitie bacterieel RNA-polymerase
bacteriostatisch en/of bactericide
semi-synthetisch
afgeleid van rifamycine B uit Streptomyces mediterranei (ook A,C,D,E)
behoren tot ansamycines
ansa (= ‘hendel’), en naftaleenring
specifieke bacteriële RNA-polymerase inhibitoren
a) directe inhibitie RNA synthese (TXN) kort na initiatie fase
=> binden met hoge affiniteit bacterieel RNA-polymerase
t.h.v. tunnel via interacties hydroxylgroepen v/d ansa-hendel
=> structuurverandering, allosterisch signaal
=> affiniteit van Mg2+ t.h.v. actieve plaats daalt
=> Mg2+ en RNA uit initiatiecomplex komen vrij
=> RNA-polymerisatie stopt door gebrek Mg2+ ionen op actieve plaats
b) OOK indirecte inhibitie TLN door gebrek mRNA, tRNA, rRNA
- - - GEEN effect op RNA-polymerase in elongatie fase
(ENKEL inhibitie kort na initiatie fase)
afh. van aanhechtingswijze v/d staart op ansa-hendel (C3 of C3/C4) twee mechanismen:
1) beta-pad
interacties ansa-hendel met beta-subunit RNA-polymerase
=> allosterisch signaal
=> inhibitie vorming 2de fosfodiësterbinding
=> vrijkomen katalytische Mg2+ ion en korte primer
2) sigma-pad
interacties C3/C4 staart met sigma-cofactor
=> allosterisch signaal
=> inhibitie 1ste fosfodiësterbinding
=> vrijkomen katalytisch Mg2+ ion en korte primer
=> TXN stop
streptovaricines
inhibitie bacterieel RNA-polymerase
bacteriostatisch en/of bactericide
>< Gram-positieve (+) en mycobacteriën
behoren tot ansamycines
ansa = ‘hendel’ = naftaleenring
specifieke bacteriële RNA-polymerase inhibitoren
thiopurines (algemeen)
zwavelhoudende guanine analogen
mechanisme:
a) ingebouwd in RNA
=> hypoxanthine-guanine transferase zet thiopurine op monoggefosforyleerd ribose t.v.v. nucleosidemonofosfaat
=> fosforylering tot nucleosidetrifosfaat
=> ingebouwd in RNA door RNA polymerase
=> kan niet afgelezen worden door ribosoom
=> celdood
b) binding aan GTP-bindende eiwitten
binding van ribonucleotidetrifosfaten aan GTP bindende eiwitten (i.p.v. GTP zelf)
=> verstoring intracellulaire celsignalisatie
c) reductie tot deoxyribose door ribonucleoside reductase
als bouwsteen gebruikt door DNA polymerase (i.p.v. RNA polymerase)
thioguanine
thiopurine, zwavelhoudend analoog van guanine
toxisch voor WBC => immunosuppressief
>< na orgaantransplantaties, auto-immuun ziekten
mechanisme:
a) ingebouwd in RNA
=> hypoxanthine-guanine transferase zet thiopurine op monoggefosforyleerd ribose t.v.v. nucleosidemonofosfaat
=> fosforylering tot nucleosidetrifosfaat
=> ingebouwd in RNA door RNA polymerase
=> kan niet afgelezen worden door ribosoom
=> celdood
b) binding aan GTP-bindende eiwitten
binding van ribonucleotidetrifosfaten aan GTP bindende eiwitten (i.p.v. GTP zelf)
=> verstoring intracellulaire celsignalisatie
c) reductie tot deoxyribose door ribonucleoside reductase
als bouwsteen gebruikt door DNA polymerase (i.p.v. RNA polymerase)
mercaptopurine
thiopurine, zwavelhoudend analoog van guanine
toxisch voor WBC => immunosuppressief
>< na orgaantransplantaties, auto-immuun ziekten
hoge dosis: anti-leukemie en neo-plastisch (kanker)
mechanisme:
a) ingebouwd in RNA
=> hypoxanthine-guanine transferase zet thiopurine op monoggefosforyleerd ribose t.v.v. nucleosidemonofosfaat
=> fosforylering tot nucleosidetrifosfaat
=> ingebouwd in RNA door RNA polymerase
=> kan niet afgelezen worden door ribosoom
=> celdood
b) binding aan GTP-bindende eiwitten
binding van ribonucleotidetrifosfaten aan GTP bindende eiwitten (i.p.v. GTP zelf)
=> verstoring intracellulaire celsignalisatie
c) reductie tot deoxyribose door ribonucleoside reductase
als bouwsteen gebruikt door DNA polymerase (i.p.v. RNA polymerase)
cytosine arabinoside (ara-C)
nuclosideanaloog
anti-tumoraal (>< acute leukemie)
cytosinebase + beta-D-arabinofuranosyl
mechanisme:
deaminatie door cytosine deaminase:
ara-C => ara-U
in vivo fosforylering: ara-C => ara-C trifosfaat
a) competieve inhibitor van natuurlijk cytidine trifosfaat voor DNA polymerase alfa
b) incorporatie in DNA
=> inhibitie DNA-synthese
=> inhibitie celgroei
c) zwakke inhibitor van ribonucleotide reductase
(voor omzetting ribose naar deoxyribose)
=> inhibitie synthese DNA bouwstenen
clofarabine
antimetaboliet met purinebase
>< acute lymfoblastische leukemie
inhibitie DNA-synthese:
inhibitie ribonucleotide reductase (ribose => deoxyribose)
na intracellulaire omzetting in actieve trifosfaatvorm
cladribine difosfaat
inhibitor DNA-synthese
inhibitor ribonucleotide reductase
fludarabine trifosfaat
(en fludarabine difosfaat metaboliet)
inhibitor DNA-synthese:
a) inhibitor DNA-polymerase
b) fludarabine difosfaat inhibeert ribonucleotide reductase
camptothecin (CPT)
topoisomerase I inhibitor
cytotoxisch chinoline alkaloïde
- - - lage oplosbaarheid, nevenwerkingen
=> derivaten ontwikkeld (cfr. topotecan en irinotecan)
mechanisme:
binden aan covalente topoisomerase I - DNA complex
sterke stabilisatie
=> voorkomt herstel van DNA doorbraak door topoisomerase I
=> DNA-beschadiging
=> apoptose
E ring interageert met enzym
configuratie chirale C10
S isomeer = ACTIEF (R isomeer = inactief)
topotecan
camptothecin derivaat
mechanisme:
binden aan covalente topoisomerase I - DNA complex
sterke stabilisatie
=> voorkomt herstel van DNA doorbraak door topoisomerase I
=> DNA-beschadiging
=> apoptose
E ring interageert met enzym
configuratie chirale C10
S isomeer = ACTIEF (R isomeer = inactief)
irinotecan
camptothecin derivaat
+ + + extra interactie met DNA in complex => verhoogde cytotoxiciteit
+ + + verhoogde lipofiliciteit => hogere orale beschikbaarheid, weefseldistributie en cellulaire opname
pro drug
wordt traag gehydrolyseerd tot actieve metaboliet met OH groep op positie 10 (R3)
mechanisme:
binden aan covalente topoisomerase I - DNA complex
sterke stabilisatie
=> voorkomt herstel van DNA doorbraak door topoisomerase I
=> DNA-beschadiging
=> apoptose
E ring interageert met enzym
configuratie chirale C10
S isomeer = ACTIEF (R isomeer = inactief)
etoposide
epipodofyllotoxinen
topoisomerase II inhibitor
intercaleren t.h.v. DNA breuken tgv. topoisomerase II
=> stabilisatie v/h covalent DNA-topoisomerase II complex
=> hoge graad DNA beschadiging
teniposide
epipodofyllotoxinen
topoisomerase II inhibitor
intercaleren t.h.v. DNA breuken tgv. topoisomerase II
=> stabilisatie v/h covalent DNA-topoisomerase II complex
=> hoge graad DNA beschadiging
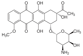
epirubicine
anthracycline
a) DNA intercalatie
b) humaan topoisomerase II inhibitor
= anti-neoplastische toepassing (>< leukemie, borstkanker, lymfomen, sarcomen)
bisantreen
topoisomerase (I + II) inhibitor
chinolonen (algemeen)
groep antibiotica
breed activiteitsspectrum
binden thv. breek in DNA tgv. werking DNA gyrase (bacterieel topoisomerase II)
interageren in ternair complex met zowel DNA als gyrase (bacterieel topoisomerase II)
stabiliserende pi-pi interacties
selectiviteit van chinolines:
DNA gyrase heeft Ser en Glu/Asp
humaan topoisomerase heeft GEEN Ser en Glu/Asp
- - - resistentie
bepaalde mutaties introduceren AZ zijketen in bindingsplaats
=> sterische hindering voor binding chinolonen
piperazine(-achtige) substituent op positie 7:
stabiliserende interacties met DNA
fluoratoom op positie 6 (bij fluorochinolonen):
GEEN directe interactie met DNA
maar door verandering e- -densiteit v/d aromatische ring
=> versterkte stackingsinteracties v/d aromatische ring met DNA basen
>< Gram(+) en Gram(-) bacteriën
norfloxacine
fluorochinolonen
>< bacteriële infecties (Gram(+) en Gram(-))
+ + + peroraal goed geresorbeerd, beperkte bijwerkingen, renale excretie
fluoratoom op positie 6 (bij fluorochinolonen):
GEEN directe interactie met DNA
maar door verandering e- -densiteit v/d aromatische ring
=> versterkte stackingsinteracties v/d aromatische ring met DNA basen
ciprofloxacine
fluorochinolonen
>< bacteriële infecties (Gram(+) en Gram(-))
+ + + peroraal goed geresorbeerd, beperkte bijwerkingen, renale excretie
fluoratoom op positie 6 (bij fluorochinolonen):
GEEN directe interactie met DNA
maar door verandering e- -densiteit v/d aromatische ring
=> versterkte stackingsinteracties v/d aromatische ring met DNA basen
ofloxacine (racemaat)
fluorochinolonen
>< bacteriële infecties (Gram(+) en Gram(-))
+ + + peroraal goed geresorbeerd, beperkte bijwerkingen, renale excretie
verlengde t1/2 in serum
actieve linksdraaiende stereo-isomeer = levofloxacine
(rechtsdraaiende vorm is inactief)
fluoratoom op positie 6 (bij fluorochinolonen):
GEEN directe interactie met DNA
maar door verandering e- -densiteit v/d aromatische ring
=> versterkte stackingsinteracties v/d aromatische ring met DNA basen
levofloxacine
fluorochinolonen
>< bacteriële infecties (Gram(+) en Gram(-))
+ + + peroraal goed geresorbeerd, beperkte bijwerkingen, renale excretie
= actieve linksdraaiende stereo-isomeer van ofloxacine
fluoratoom op positie 6 (bij fluorochinolonen):
GEEN directe interactie met DNA
maar door verandering e- -densiteit v/d aromatische ring
=> versterkte stackingsinteracties v/d aromatische ring met DNA basen
moxifloxacine
fluorochinolonen
>< bacteriële infecties (Gram(+) en Gram(-))
+ + + peroraal goed geresorbeerd, beperkte bijwerkingen, renale excretie
fluoratoom op positie 6 (bij fluorochinolonen):
GEEN directe interactie met DNA
maar door verandering e- -densiteit v/d aromatische ring
=> versterkte stackingsinteracties v/d aromatische ring met DNA basen
nalidixinezuur
chinolonen
enger spectrum (tov. fluorochinolonen)
>< enkel bij urinaire infecties
PARP inhibitoren (algemeen)
‘-paribs’
competitieve inhibitor van NAD+
voorkomen dat NAD+ aan PARP (poly ADP ribose polymerase) kan binden
=> PARP + inhibitor blijft gebonden aan DNA thv. de breuk
=> GEEN poly-ADP ribose gevormd
=> GEEN herstelenzymen gerekruteerd, GEEN herstel
=> replicatievork zorgt voor breuk in complementaire keten
herstelenzymen
bv. gecodeerd door BRCA1 en BRCA2 genen
* mutaties zorgen voor fouten bij DNA herstel t.v.v. dubbelstrengsbreuken
tumoren met BRCA1/2 mutatie sterk afh. van PARP voor overleving
want opstapeling van dubbelstrengsbreuken leidt tot celdood
olaparib
PARP inhibitor
>< tumoren met BRCA1/2 mutatie
+ + + specificiteit voor tumorcellen met deze mutatie
gezonde cellen repliceren minder snel, overleven PARP inhibitie
niet aangetast
competitieve inhibitor van NAD+
voorkomen dat NAD+ aan PARP (poly ADP ribose polymerase) kan binden
=> PARP + inhibitor blijft gebonden aan DNA thv. de breuk
=> GEEN poly-ADP ribose gevormd
=> GEEN herstelenzymen gerekruteerd, GEEN herstel
=> replicatievork zorgt voor breuk in complementaire keten
veliparib
PARP inhibitor
>< tumoren met BRCA1/2 mutatie
+ + + specificiteit voor tumorcellen met deze mutatie
gezonde cellen repliceren minder snel, overleven PARP inhibitie
niet aangetast
competitieve inhibitor van NAD+
voorkomen dat NAD+ aan PARP (poly ADP ribose polymerase) kan binden
=> PARP + inhibitor blijft gebonden aan DNA thv. de breuk
=> GEEN poly-ADP ribose gevormd
=> GEEN herstelenzymen gerekruteerd, GEEN herstel
=> replicatievork zorgt voor breuk in complementaire keten
talazoparib
PARP inhibitor
>< tumoren met BRCA1/2 mutatie
+ + + specificiteit voor tumorcellen met deze mutatie
gezonde cellen repliceren minder snel, overleven PARP inhibitie
niet aangetast
competitieve inhibitor van NAD+
voorkomen dat NAD+ aan PARP (poly ADP ribose polymerase) kan binden
=> PARP + inhibitor blijft gebonden aan DNA thv. de breuk
=> GEEN poly-ADP ribose gevormd
=> GEEN herstelenzymen gerekruteerd, GEEN herstel
=> replicatievork zorgt voor breuk in complementaire keten
rucaparib
PARP inhibitor
>< tumoren met BRCA1/2 mutatie
+ + + specificiteit voor tumorcellen met deze mutatie
gezonde cellen repliceren minder snel, overleven PARP inhibitie
niet aangetast
competitieve inhibitor van NAD+
voorkomen dat NAD+ aan PARP (poly ADP ribose polymerase) kan binden
=> PARP + inhibitor blijft gebonden aan DNA thv. de breuk
=> GEEN poly-ADP ribose gevormd
=> GEEN herstelenzymen gerekruteerd, GEEN herstel
=> replicatievork zorgt voor breuk in complementaire keten
niraparib
PARP inhibitor
>< tumoren met BRCA1/2 mutatie
+ + + specificiteit voor tumorcellen met deze mutatie
gezonde cellen repliceren minder snel, overleven PARP inhibitie
niet aangetast
competitieve inhibitor van NAD+
voorkomen dat NAD+ aan PARP (poly ADP ribose polymerase) kan binden
=> PARP + inhibitor blijft gebonden aan DNA thv. de breuk
=> GEEN poly-ADP ribose gevormd
=> GEEN herstelenzymen gerekruteerd, GEEN herstel
=> replicatievork zorgt voor breuk in complementaire keten
imatinib
Tyr kinase inhibitor (TKIs) als ATP-analoog
1ste generatie inhibitor van het cellulair Tyr kinase Bcl-Abl
Bcl-Abl = oncogen => chronische myelogene leukemie
- - - resistentie ontwikkeling:
a) mutaties in Bcl-Abl gen => affiniteit daalt
b) verhoogde efflux en verminderde opname
nilotinib
Tyr kinase inhibitor (TKIs) als ATP-analoog
2de generatie inhibitor van het cellulair Tyr kinase Bcl-Abl
structureel sterk verwant met imatinib
+ + + krachtiger, meer selectief, beter bestand tegen resistentie ontwikkeling tgv. mutaties
dasatinib
Tyr kinase inhibitor (TKIs) als ATP-analoog
a) 2de generatie inhibitor van het cellulair Tyr kinase Bcl-Abl
andere basistructuur dan imatinib en nilotinib
bindingsplaats overlapt, maar niet volledig samenvallend
=> + + + geen uitgesproken kruisresistentie
b) Src kinase inhibitor (Src kinase = cellulaire Tyr kinase)
nitroglycerine
nitrovasodilatoren
>< coronair hartfalen (angina pectoris), linkerhartfalen (o.a. door acuut longoedeem), hypertensieve crisis
sublinguale toediening tijdens angoraanval of preventief voor inspanning
(contact met mondmucosa!!!)
chronisch langs orale weg profylactisch/preventief
of via pleister
vertraagde vrijzetting
stimulatie van oplosbaar guanylylcyclase (NO-gevoelig)
bioactivatie zorgt voor NO vrijzetting
verhoogde [cGMP]
isosorbidedinitraat
nitrovasodilatoren
>< coronair hartfalen (angina pectoris), linkerhartfalen (o.a. door acuut longoedeem), hypertensieve crisis
sublinguale toediening tijdens angoraanval of preventief voor inspanning
(contact met mondmucosa!!!)
chronisch langs orale weg profylactisch/preventief
vertraagde vrijzetting
intraveneus infuus => hemodynamische verbetering bij ernstig hartfalen en bij onstabiele angor in acute fase v/h myocarinfarct
stimulatie van oplosbaar guanylylcyclase (NO-gevoelig)
bioactivatie zorgt voor NO vrijzetting
verhoogde [cGMP]
molsidomine
NO-donor
oraal actieve vasodilatator
gemetaboliseerd in lever tot instabiel metaboliet dat geleidelijk ontbindt waarbij NO vrijgezet wordt
waarschijnlijk dezelfde eig. als nitrovasodilatoren (‘de nitraten’)
enoximon
PDE3-inhibitor
positief inotroop en vasodilaterend
>< ernstig hartfalen
intracellulaire [cAMP] stijgt, verhoogde Ca2+ influx
=> contractie myocard verhoogt EN tegelijkertijd vasodilatatie aorta en longarteriën
perifeer: [Ca2+] daalt
=> vasodilatatie
vasodilatatie
milrinon
PDE3-inhibitor
positief inotroop en vasodilaterend
>< ernstig hartfalen
intracellulaire [cAMP] stijgt, verhoogde Ca2+ influx
=> contractie myocard verhoogt EN tegelijkertijd vasodilatatie aorta en longarteriën
perifeer: [Ca2+] daalt
=> vasodilatatie
vasodilatatie