1/3
Looks like no tags are added yet.
Name | Mastery | Learn | Test | Matching | Spaced | Call with Kai |
|---|
No analytics yet
Send a link to your students to track their progress

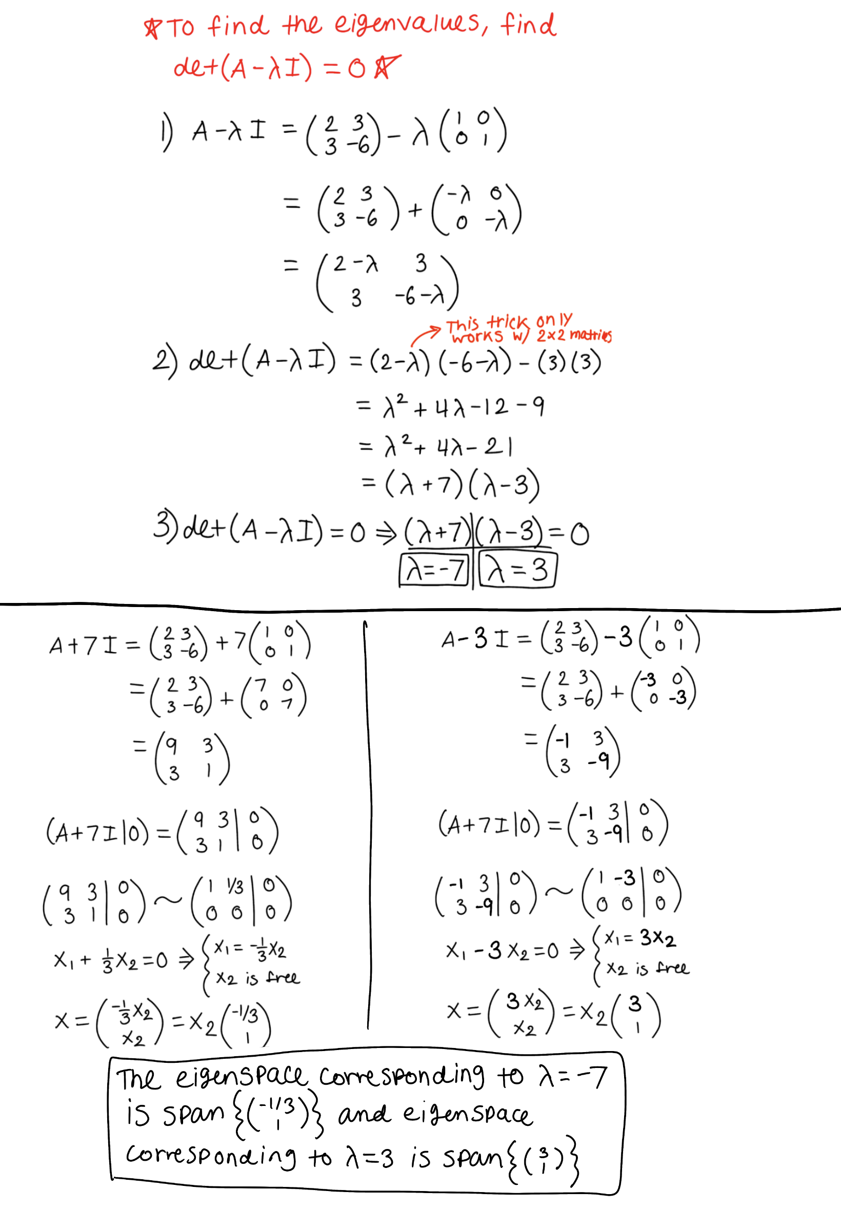
To find the eigenspace, find the solutions of (A - λI)x = 0 and express them as a parametric vector equation. The span of the vectors you get from the parametric vector equation will be your answers





A