1/97
lectures from Dr. Clare Venney; modules 12-17 (Sex determination and sex-linked characteristics, Pedigree analysis, applications, and genetic testing, Population genetics, Quantitative genetics, Gene interactions at multiple loci, Chromosome variation); no wooclap practice questions included
Name | Mastery | Learn | Test | Matching | Spaced | Call with Kai |
|---|
No analytics yet
Send a link to your students to track their progress
What is sex vs gender?
Sex - anatomical and physiological phenotype, seen in most organisms
Gender - social construct based on identity, only found in humans
What is environmental sex determination (ESD)?
Sex determined by environment, no chromosomes
What types of organisms show environmental sex determination (ESD)?
Reptiles, fish, plants
How is environmental sex determination (ESD) seen in sea turtles?
Egg temperature determines offspring sex:
Warm (> 31°C) → female
Cold (< 27.7°C) → male
27.7°C to 31°C → mixed sex
How is environmental sex determination (ESD) seen in green spoonworms?
Females produce bonellin as protection from threat species:
Offspring are tiny enough to move with the current:
Sucked into female, contact with bonellin → male
No contact with bonellin → female
Why would environmental sex determination (ESD)? evolve the way it did in green spoonworms?
Any larvae touched by a female will develop into a potential mate → increases chances of reproduction in low population densities
How is environmental sex determination (ESD) seen in clownfish?
Juveniles are undifferentiated until social cues shift them to males
Males can grow and transform into females if the dominant female dies
What does sex determination look like in asparagus?
M locus including two genes that are not 100% linked:
M/m → male (suppresses female development)
m/m → female

What is haplodiploidy?
Sex determined by the fertilization of the egg, produces sexes with different ploidy
Unfertilized egg → haploid male
Fertilized egg → diploid female
What organisms show haplodiploidy?
Hymenoptera → bees, wasps, ants
How is haplodiploidy seen in honeybees?
Worker bees - female, diploid, infertile
Drone bees - male, haploid, fertile
Queen bee - female, diploid, fertile

How have X and Y evolved over time?
Identical millions of years ago
Now most organisms have much smaller Y chromosomes that have lost most of its genes
If Y chromosomes have lost most of their genes, how are X and Y chromosomes still in a homologous pair?
The caps of the chromosomes are pseudoautosomal regions that are homologous
How sex determination and development occur in human embryos?
Transcription factors (TFs) drive the development of uncommitted gonads into sexual organs (ovaries/testis)
TFs from SRY (sex-determining region of Y chromosome) drive development of testis
Lack of SRY/Y chromosome leads to development of ovaries
What hormones and meiotic processes are seen in the sex-specific human organs?
Female ovaries → produce estrogen, oogenesis
Male testis → produce testosterone, spermatogenesis
How do sex hormones enter cells?
Transported through the blood to target cells with specific receptors

How do sex hormones drive sexual differentiation?
Sex hormones activate transcription factors which activate target genes that encode sex-specific traits
How does crossing over differ in mitosis and meiosis in mammals?
Mitosis → crossing over occurs anywhere in autosomes
Meiosis → crossing over only occurs in the small pseudoautosomal regions (located on the caps of the chromosomes)
Recombination outside these regions results in sex-related abnormalities
Is sex differentiation only seen in animals?
No, found in plants as well
Papayas show female, male, male with fruit, hermaphrodites
How does sex determination differ across different animal groups?
Sex can be determined by X/Y genes, Z/W genes, or a combination of these genes with ESD
What are Z and W chromosomes?
Sex determining chromosomes found in birds, butterflies and reptiles
ZW → female (W is similar to the human Y chromosome)
ZZ → male
How is sex determination seen in cardinals?
ZW → female, yellow feathers
ZZ → male, red feathers
How is sex determination seen in bearded dragons?
Sex determined by both ZW genes and environment (temperature)
ZZ, <32oC → male
ZZ, 32-35oC → mixed
ZZ, 36oC → female
ZW → female, regardless of temperature
What is dosage compensation?
A solution to the issue of females having twice as many X-linked genes that equalizes the amount of protein produced by X-linked genes and autosomal genes
What are 3 different dosage compensation solutions seen in different organisms?
Increase activity of genes on male X chromosomes
Shut down one X chromosome in females
Do nothing (fish, butterflies, birds)
What dosage compensation solution is seen in fruit flies (Drosophila)?
Transcription rates are doubled in male X-chromosomes

What dosage compensation solution is seen in mammals?
One X chromosome is randomly shut down in XX individuals

What is a Barr body?
A highly condensed, inactive X chromosome
Formed by chromosome inactivation in dosage compensation
Mammalian cells lacking a Barr body are XY
What is the Lyon hypothesis?
Each cell randomly inactivates one of the X chromosomes

What is the Xist gene?
The gene located on the X chromosome that creates Barr bodies
Expressed on one X chromosome that becomes the Barr body
Repressed on the other chromosome that remains expressed

How does the Xist gene create a Barr body?
Encodes a 17000bp RNA molecule that coats the X chromosome the condenses in by recruiting chromatin remodelling proteins
What in Klinefelter syndrome?
Human disease seen in individuals with an XXY genotype
What is Turner syndrome? How does it occur?
Human disease seen in individuals with an X0 genotype
An XY zygote splits into twins where one loses its Y chromosome
What are sex-linked genes vs X-linked genes?
Sex-linked gene - gene on a sex chromosome
X-linked chromosome - gene on the X chromosome
Are all genes on the X chromosome involved in sex determination?
No, most of them are not
What is an example of a gene on the X chromosome not involved in sex determination?
F9 - blood blotting factor IX
Deficiency → hemophilia
What nomenclature is used for genes on X chromosome?
Females are homozygous or heterozygous:
A/A or XAXA
A/a or XAXa
a/a or XaXa
Males are hemizygous (half the number of alleles):
A/Y or XAY
a/Y or XaY
What does a Punnett square look like for an XA/ Xa female crossed with XA/Y male

What type of gene is the one responsible for red-green colour blindness?
Recessive X-linked gene
X+ → dominant wildtype (colour vision)
Xc → colour blindness

What type of gene is the one responsible for coat colour in cats?
Codominant X-linked gene

What type of gene is the one responsible for white patches in cat coats?
Dominant autosomal gene
What genes encode the fur pattern in calico cats?
X-linked codominant genes encoding orange and black fur
Dominant autosomal gene encoding white patches

What type of gene is the one responsible for pigeon colouration?
Z-linked gene with multiple alleles showing a complete dominance hierarchy:
ZA (ash-red) > ZB (blue) > Zb (brown)
W alleles carry no colour genes
What does it mean that some traits are sex-influenced?
Phenotypes differ between males and females but are due to sex hormones and autosomal genes
What are model organisms?
Organisms used by scientists to study biological processes
Eg. mice, E. coli, Drosophila
What are some characteristics of good model organisms?
Short generation time
Lots of offspring
Can control mating
Pure-breeding strains
What do the symbols of a pedigree mean/How do we identify individuals in a pedigree?

What do the lines of a pedigree symbolize/How do we determine relationships in a pedigree?
Note that double lines in a relationship line so inbreeding/consanguinity

What are some different pedigree conventions used to symbolize an individual is an asymptomatic carrier?

What are some numerical conventions seen in pedigrees?
Roman numerals (I, II, III, etc.) identify different generations in a pedigree
Arabic numerals (1, 2, 3, etc.) identify family members within a generation
Siblings are listed left to right in birth order
How are twins symbolized on a pedigree?
With a branched line of descent

What are the patterns of inheritance we can determine through pedigrees?
Autosomal recessive
Autosomal dominant
X-linked recessive
X-linked dominant
Mitochondrial
What patterns are seen in a pedigree of an autosomal recessive gene?
Both males and females can be affected
Affected individuals tend to skip generations
More likely to appear in the progeny of related parents (inbreeding)
What is phenylketonuria (PKU)?
Human disease that leads to neurological issues caused by a recessive autosomal gene (PAH -)
How many people are affected by phenylketonuria (PKU)?
How does the PAH - gene cause phenylketonuria (PKU)?
PAH encodes phenylalanine hydrolase protein which converts phenylalanine into tyrosine
Without it, phenylalanine converts into phenylpyruvic acid that builds up (toxic molecule that damages the CNS)
How is phenylketonuria (PKU) diagnosed and treated?
Diagnosed through newborn blood tests
Treated with low phenylalanine diet → less phenylpyruvic acid build up = normal neurological development
What patterns are seen in a pedigree of an autosomal dominant gene?
Affects both males and females
Trait does not skip generations
Unaffected people cannot pass on trait, affected people have at least one affected parent
What is polydactyly in cats?
Condition where cats have extra toes caused by an autosomal dominant allele on the ZRS gene
With X-linked recessive traits, what genotypes produce affected individuals?
Xa/Y → affected male
Xa/Xa → affected female
What patterns are seen in a pedigree of an X-linked recessive gene?
Males are more often affected then females
Condition often skips generations
Affected male → unaffected female → affected male
What are the statistics of the progeny of a female carrier of an X-linked recessive condition?
50% of sons are affected
50% of daughters are carriers
What is hemophilia A?
Bleeding disorder where blood does not clot properly caused by a recessive X-linked gene
Common in Queen Victoria’s descendants
What causes hemophilia?
Defect (dysfunctional protein or insufficient expression) in F8 gene (Xq28) that encodes coagulation factor 8
Why is inbreeding bad?
Increased likelihood for recessive traits to be passed on to affected children, many abnormalities in children
Loss of heterozygotes
With X-linked dominant traits, what genotypes produce affected individuals?
XA/Y → affected male
XA/XA → affected female
XA/Xa → affected female
What patterns are seen in a pedigree of an X-linked dominant gene?
Affects both males and females
Traits do not skip generations
Affected males pass trait to all daughters and no sons, affected heterogynous females pass to half their sons and daughters
What is fragile X syndrome?
Neurodevelopmental disorder caused by the FMR-1 gene
Affected males have IQ < 50
IQ of affected females depends on patterns of X inactivation
FRM-1- is dominant, more FMR-1- cells = lower IQ
How does the FMR-1 gene cause Fragile X syndrome?
FMR-1 encodes the FMRP protein which controls proper neuron development and develops connections between neurons
Strand slippage → sequence repeats
>200 repeats silences FMR-1 which leads to atypical neuron connections
What patterns are seen in a pedigree of an mitochondrial gene?
Traits can only be passed down by the mother
Affected mother = all offspring affected
Unaffected mother = no offspring affected
Why are mitochondrial traits only passed down by the mother?
Egg cells contain 200,000 mitochondria
Sperm cells contain 5 mitochondria which are often lost
What is genetic counselling?
Guidance and counselling provided on genetic conditions, involves:
Risks of developing a condition
Family histories of disease
Probability of a child inheriting a condition
Prenatal testing for conditions
What is the Hardy-Weinberg equilibrium?
Simple formula to that uses the multiplication rule to calculate/estimate allele and genotypes frequencies for autosomal loci with two alleles:
Allele frequency: p + q = 1
Genotype frequency: p2 +2pq +q2 = 1
What are the 5 assumptions of a population of the Hardy-Weinberg equilibrium?
No selection
No mutations
No migration
Large population
Random mating
How do you calculate the frequency of an allele?
alle frequency = # of copies of allele / total # of alleles at the locus
Note that these numbers are relative to the population
What is the general trend seen in allele and genotype frequencies?
When the frequency of one allele is high, most of the individuals are homozygotes
Heterozygote frequency is greatest when allelic frequencies are equal (p = q = 0.5)
How is disease risk assessed?
Using:
The probability a parent has an affected allele
The probability the parent passes on the affected allele
Questions likely to have partial pedigrees with partial genotype information about the parents
What do Hardy-Weinberg equilibrium calculations with 3 allels on a locus?
Allele frequency: p + q + r = 1
Genotype frequency: p2 +q2 +r2 +2pq + 2pr + 2qr = 1
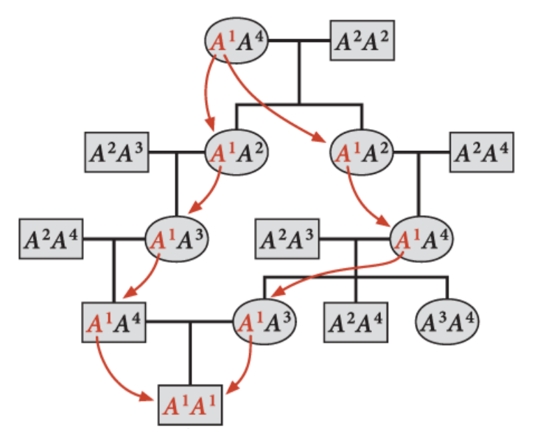
How is inbreeding mesaured?
Inbreeding coefficient (F) - probability that two alleles are identical by descent
F = 0 → random mating
F = 1 → all alleles in an individual are identical by descent (seen in image)

What inbreeding coefficients (F) do different degrees of inbreeding produce?
Self-fertilization (plants) → F = 1 (completely homozygous population)
Mating between siblings → F = 0.25
Mating between first cousins → F = 0.0625
What is quantitative genetics?
The study of quantitative or continuous characteristics, often due to the involvement of several genes
What are qualitative vs quantitative traits?
Qualitative traits - traits with 2 or more discontinuous phenotypes (Eg. coat colour)
Quantitative traits - traits that exhibit a continuous range of phenotypes (Eg. height)
Why is there greater variation around continuous traits?
Polygenic regulation
Environmental effects
What are polygenic traits?
Multiple genes affect the phenotype of a trait
More loci → more possible genotypes → more possible phenotypes
Is human height a polygenic trait?
Yes, over 12000 single-nucleotide polymorphisms (SNPs) are associated with human height
Eg. a subset of genes expressed in bone growth plates associated with height differences
What are some examples of environmental effects on phenotype?
Season
Light
Nutrition
What is phenotypic plasticity?
The ability of a genotype to express different phenotypes under different environmental conditions
All genotypes respond in a similar way

What three components can phenotypic variance be broken down into?
Genotype (Vgenetic)
Environmental effects (Venvironmental)
Interactions of genotype and environmental interactions (VGxE)
Vphenotype = Vgenetic + Venvironmental + VGxE
How do genotypes and environmental effect interactions affect pehnotype?
Genotypes behave differently in different environments
Eg. wet environment → aa taller; dry environment → AA taller

How does PTC tasting demonstrate population genetics?
Phenylthiocarbamide (PTC) is responsible for the bitter taste in foods like beer and brussels sprouts
One gene determines if you are taster or non-taster of PTC, and phenotypes follow Mendelian ratios (3:1 taster:non-taster)
What are complementary genes?
Two genes are both required to produce a wild phenotype
Eg. petal colour in harebells
What Mendelian ratios are seen in traits with complementary genes?
9:7
In the example photo (harebell petal colour), w1 and w2 are complementary genes where w1+ and w2+ are completely dominant to w1- and w2-

What are some possible biochemical pathways for complementary gene action?
The complementary genes encode for two different enzymes
The complementary genes encode for two subunits of one enzyme

What are duplicate genes?
Sometimes genes have redundant functions and only one of two genes is needed to produce the phenotype
Eg. seed coat colour in wheat
What Mendelian ratios are seen in traits with duplicate genes?
15:1
A dominant genotype at either locus deermines phenotype

What is epistasis?
One gene masks or interferes with the expression of another gene
What are the two types of epistasis?
Recessive epistasis
Dominant epistasis
What is recessive epistasis?
When the recessive phenotype of one gene conceals the phenotype of a second gene