1/33
Name | Mastery | Learn | Test | Matching | Spaced | Call with Kai |
|---|
No analytics yet
Send a link to your students to track their progress
The decimal system uses base
10
What is the duty cycle of a digital waveform with a pulse width of 10 ms and a period of 90 ms?
11.1%
Convert the binary to decimal: 101010.01
42.25
Convert the hexadecimal to decimal: 1A
26
The output from an AND gate is HIGH ________
only when all inputs are HIGH
Determine the decimal value of the signed binary number in the sign magnitude form: 10011001
-25

The approximate duty cycle for the digital waveform is
20%

Item (1) of the nonideal pulse in Figure 1-2 below represents the waveform
amplitude
What is the frequency of a digital waveform with a pulse width of 10 ms a period of 90 ms?
11
The output from an OR gate is HIGH ________
when at least one input is HIGH

Item (3) of the nonideal pulse in Figure 1-2 below represents the waveform ________.
pulse width

Item (4) of the nonideal pulse in Figure 1-2 below represents the waveform ________.
fall time
Convert to hexadecimal: 10100110
A6
When data is sent along a single conductor, it is referred to as ________
serial data

The truth table describes a(n)
OR gate
Which of the following is an important feature of the sum-of-products form of expressions?
No signal must pass through more than 2 gates (not including inverters).
Which of the following expressions is in the product-of sums form?
AB(CD)
(AB)(CD)
(A+B)(C+D)
AB + CD
(A + B)(C + D)
True or false: the sum-of-product (SOP) is a standard form of a Boolean expression
True

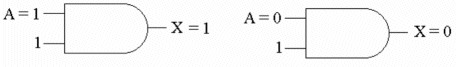
Which rule of Boolean algebra does the figure illustrate?
A*1=A

The symbol represents a(n) ________.
NAND gate

Which of the Karnaugh maps represents the expression, X = AC + BC + B?
Figure 3
Which statement below best describes a Karnaugh map?
A) Karnaugh maps provide a graphic approach to simplifying Boolean expressions.
B) The Karnaugh map eliminates the need for using NAND and NOR gates.
C) A Karnaugh map can be used to replace Boolean rules.
D) Variable complements can be eliminated by using Karnaugh maps.
A) Karnaugh maps provide a graphic approach to simplifying Boolean expressions.
True or false: the Karnaugh maps provide graphic approaches to simplifying Boolean expressions.
True
True or false: a LOW input to an inverter produces a HIGH output.
True
The term "hex inverter" refers to ________.
six inverters in a single package

The symbol shown in Figure 4-3 is a(n) ________ gate.
OR

The symbol below represents a(n) ________.
OR gate

The timing diagram below is correct for a 2-input ________ gate.
OR

The Boolean expression for the symbol in Figure 4-2 is ________.
X = ABCD
True or false: the output of a 2-input Exclusive-OR gate is HIGH when the inputs are equal, or identical.
False
What is the primary motivation for using Boolean algebra to simplify logic expressions?
A) It may reduce the number of inputs required.
B) It may make it easier to understand the circuit.
C) It may reduce the number of gates.
D) All of the above are correct.
D) All of the above are correct

According to DeMorgan's theorem, the equation equals ________.
ABC’ (not C)
True or false: the output of an AND gate is LOW only when all inputs are LOW.
False
A Karnaugh map ________.
A) provides a means of reducing complex Boolean expressions
B) produces the simplest sum-of-products expression
C) gives an overall picture of how the signals flow through the logic circuit
D) allows any circuit to be implemented with just AND and OR gates
A) provides a means of reducing complex Boolean expressions