1/12
Looks like no tags are added yet.
Name | Mastery | Learn | Test | Matching | Spaced | Call with Kai |
|---|
No analytics yet
Send a link to your students to track their progress
Carboxylic Acid

Ester

Acyl Halide

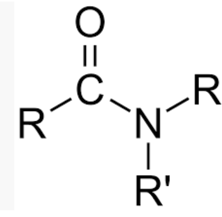
Amide

Nitrile

Aldehyde

Ketone

Alcohol

Thiol

Amine

Alkene

Alkyne

Alkane
