1/20
Looks like no tags are added yet.
Name | Mastery | Learn | Test | Matching | Spaced | Call with Kai |
|---|
No analytics yet
Send a link to your students to track their progress
CTTQ alcohol no, đơn chức, mạch hở
CnH2n+2O hay CnH2n+1OH (n>0)
CTTQ alcohol ko no (1 đôi), đơn chức, mạch hở
CnH2nO hay CnH2n-1OH (n>2)
CTTQ alcohol no, đa chức, mạch hở
CnH2n+2Om (m≤n)
Bậc của alcohol =
Bậc của C liên kết với nhóm (-OH)

Phản ứng thế (-OH) bằng dẫn xuất halogen


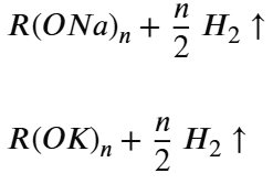
Phản ứng thế (-OH) bằng Na, K


Phản ứng tạo ether

CT tính số ether tạo từ n phân tử alcohol


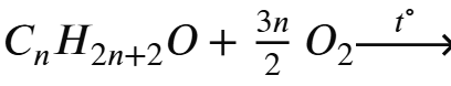
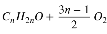
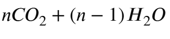
Phản ứng oxh hoàn toàn (đốt cháy) alcohol no, đơn chức, mạch hở
nH2O > nCO2 và nalcohol = nH2O - nCO2


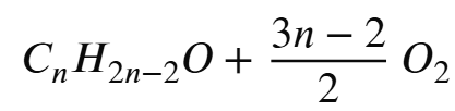
Phản ứng oxh hoàn toàn (đốt cháy) alcohol không no, 1 đôi, đơn chức mạch hở
nH2O = nCO2


Phản ứng oxh hoàn toàn (đốt cháy) alcohol không no, 1 ba hoặc 2 đôi, đơn chức mạch hở
nH2O < nCO2 và nalcohol = nCO2 - nH2O


Phản ứng oxh ko hoàn toàn +CuO (alcohol I)
Oxh ko hoàn toàn Alcolhol I tạo Aldehyde


Phản ứng oxh ko hoàn toàn +CuO (alcohol II)
Oxh ko hoàn toàn Alcolhol II tạo Ketone

Độ rượu a° nghĩa là
Trong 100mL dd rượu có a(mL) C2H5OH và (100-a)mL H2O
CT tính độ rượu a°


Phản ứng tách nước tạo alkene (alcohol no, đơn chức, mạch hở, số C ≥ 2)
Tách theo quy tắc Zaitsev


Điều chế ethanol (pp sinh hóa)


Sản xuất từ alkene

Điều chế từ dẫn xuất halogen. VD: C2H5Br

Glycerol
C3H5(OH)3

Sản xuất Glycerol từ propene
