1/37
Looks like no tags are added yet.
Name | Mastery | Learn | Test | Matching | Spaced | Call with Kai |
|---|
No analytics yet
Send a link to your students to track their progress
What do genes do?
- stores genetic information for making proteins
- determines the order of amino acids
Nucleic acids are specialized in...
storing, retrieving, and translating genetic instructions
DNA's name comes from...
deoxyribo = no oxygen at the 2' carbon
nucleic = molecule found in the nucleus
acid = phosphate group gives DNA acidic properties
Main components of a nucleotide are...
phosphate, sugar, nitrogenous base
DNA strand is ...
polymers of nucleotides
Do DNA strands have polarity?
- yes, they have directional polarity: 5' to 3'
- only 5' end have phosphate groups
What parts of DNA are the same and what parts are unique?
- the sugar-phosphate backbone is consistent.
- the different bases make each nucleotide unique
How is the "double helix" structure achieved?
- base pairing via hydrogen bonds
- nitrogenous bases are also hydrophobic, needs to be inside of the helix.
- sugar-phosphate backbone is on the outside of the helix
- antiparallel strands twist around each other to form a double helix
- van der waals interactions between stacked base pairs also support structure
What is complementary base pairing?
- purines pair with pyrimidines by hydrogen bonds
- purines have double ring (A G)
- pyrimidines have single ring (C T U)
Which base pairing is the strongest?
C + G, because they form 3 hydrogen bonds.
Why can't A and T form 3 hydrogen bonds?
- because in order for hydrogen bonds to work, there needs to be a N,O, or F for the H to bind to.
- CH is nonpolar bond, no partial charge
Why can't T pair with G?
- because all electronegative atoms present for hydrogen bonding in guanine don't have an H acceptor in the thymine base.
- 2 partial negative charges, repulsion forces won't allow H bonds to form.
What holds the two DNA strands together?
The H bonds between the base pairs.
How is the DNA double strand energetically favorable?
The bases are hydrophobic and the sugar-phosphate backbone is hydrophilic.
How is complementary base pairing energetically favorable?
it keeps the width of DNA constant; supports the double helix structure.
How is the double-stranded DNA anti-parallel?
The two strands run in different directions.
How is information encoded in DNA?
the order of the nucleotides
What is a basic description of transcription?
genes -> RNA
What is a basic description of translation?
RNA -> protein
What is the main purpose of DNA?
carriers of biological information to produce the RNA and protein
How is 2 meters of DNA in the nucleus in our cells packaged?
- they are parceled out into chromosomes.
Explain characteristics of chromosomes.
- there are 23 pairs of chromosomes in somatic (non-reproductive) cells
- each chromosome in a pair is inherited - one from dad one from mom
- chromosomes carry the same genes, but differ in sequence, thus unique traits
How is DNA wrapped?
DNA is wrapped around a protein called a histone.
- wrapping reduces DNA length by 1/3
What is a nucleosome?
- histone/DNA complex
- they contain DNA wrapped around a protein core of eight histone molecules.
Describe characteristics of a nucleosome core.
- each nucleosome core particle consists of eight histone proteins. 2 molecules each of H2A, H2B, H3 and H4.
- 147 nucleotide pairs long DNA wrapped.
- all 4 histones are have high quantity of positively charged amino acids (lysine and arginine).
How is DNA bonded to the nucleosome core?
the positive charges of histones bind tightly to the negatively charged sugar-phosphate backbone of DNA
Describe characteristics of chromatin.
it is a condensed structure of nucleosomes packed on top of another.
How does chromatin form chromosomes?
chromatin is condensed in to loops to form chromosomes.
When does packaging stop at the chromatin fiber stage?
all times except during cell division (mitosis)
What is the main purpose of chromosomes?
packaging the DNA so that it is 10,000 times shorter than its fully extended length.
What happens during interphase of cell division? Interphase is the stage of cell division at which the cell has not begun to divide.
the chromatins are in loosened form.
What happens to chromatin during mitosis?
the chromatins are condensed into chromosomes.
Explain chromatin remodeling complexes.
- they use energy from ATP hydrolysis to loosen DNA and push it along the histone octamer (turn to allow the DNA to unwind). this allows access to genes.
- complex can also make DNA less accessible (can also make the DNA rewind around the histone protein)
What are the N-terminal tails in nucleosomes?
- histone core particle H3 sticks out from the particle, play an important role in higher-order chromatin structure and gene expression.
- acetylation: cells can control gene expression by modifying these tails
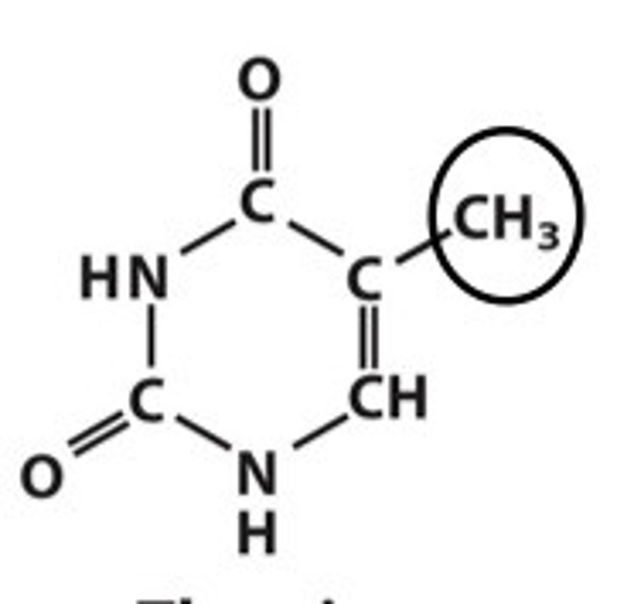
Thymine structure

Cytosine structure

Adenine structure

Guanine structure
