Lecture 2 molecules

0.0(0)
Studied by 0 people
call kaiCall Kai
learnLearn
examPractice Test
spaced repetitionSpaced Repetition
heart puzzleMatch
flashcardsFlashcards
GameKnowt Play
Card Sorting

1/7

flashcard set

Earn XP

Description and Tags

done

Last updated 9:31 PM on 4/17/26
Name
Mastery
Learn
Test
Matching
Spaced
Call with Kai

No analytics yet

Send a link to your students to track their progress

8 Terms

1
New cards

Maltose

<p></p>
2
New cards

cellobiose

knowt flashcard image
3
New cards

Lactose

knowt flashcard image
4
New cards

Sucrose

knowt flashcard image
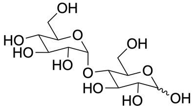
5
New cards

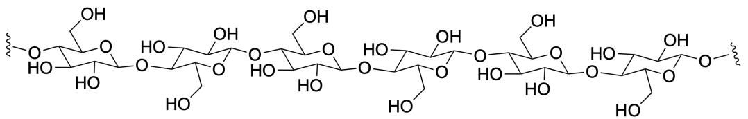
Amylose

knowt flashcard image
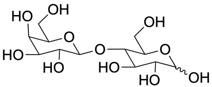
6
New cards

Amyloceptin

knowt flashcard image
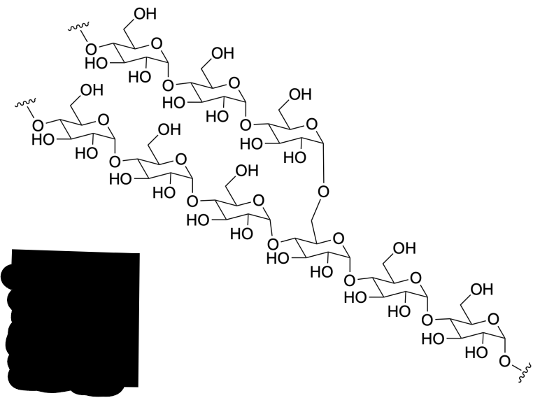
7
New cards

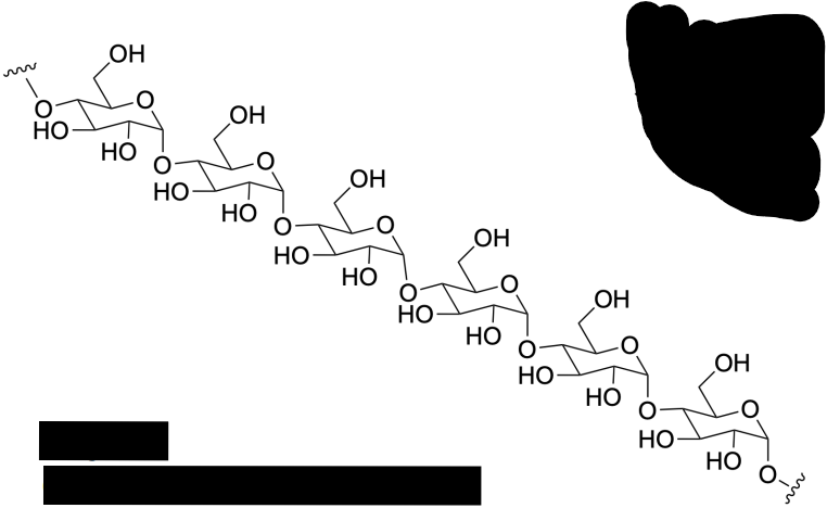
Cellulose

knowt flashcard image
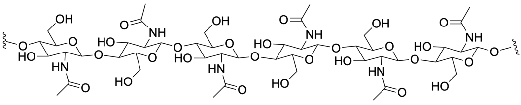
8
New cards

Chitin

knowt flashcard image