1/14
Organic Chemistry I CHEM231 Hirschauer Exam 3 Terms
Name | Mastery | Learn | Test | Matching | Spaced | Call with Kai |
|---|
No analytics yet
Send a link to your students to track their progress
What is hyperconjugation in alkenes?
The perfect alignment of neighboring C-H sigma bonds with pi bonds
What orientation of the highest priority substituents is associated with E configuration?
Opposite
What orientation of the highest priority substituents is associated with Z configuration?
Same
Why are trans alkenes more stable than cis alkenes?
The substituents in a cis alkene will interact, resulting in steric strain
Is hydrohalogenation exothermic or endothermic?
Exothermic
What is Markovikov’s rule?
The more stable carbocation will form, so X- adds to the more substituted carbon.
What compound is absolutely required for acid-catalyzed hydration?
H2O or OH

hydrohalogenation (electrophilic addition of H-X)

acid-catalyzed hydration

Oxymercuration/Demercuration

Hydroboration/Oxidation
What is a syn addition?
When 2 substituents react on the same side of a compound

Halogenation

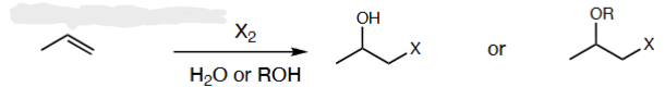
Halohydrin Formation

Hydrogenation of Alkenes