1/15
Name | Mastery | Learn | Test | Matching | Spaced | Call with Kai |
|---|
No analytics yet
Send a link to your students to track their progress
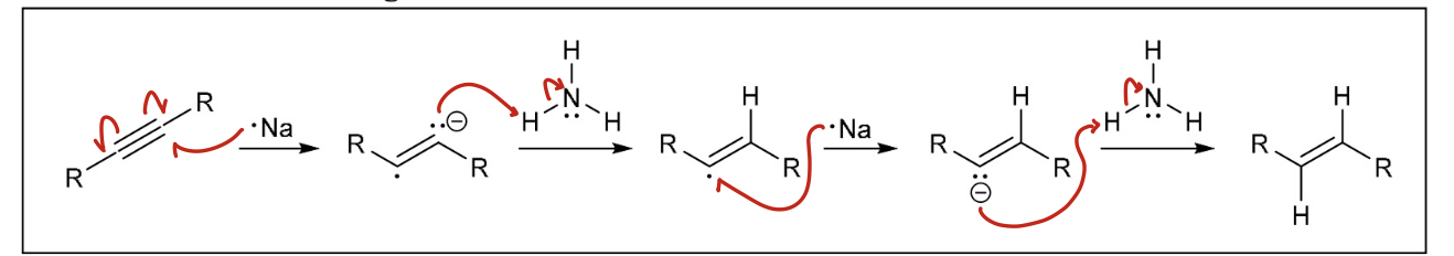
dissolving metal reduction mech

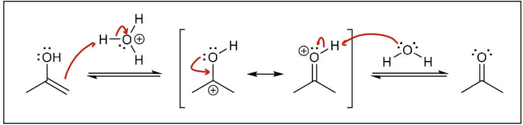
acid catalyzed tautomerization mech

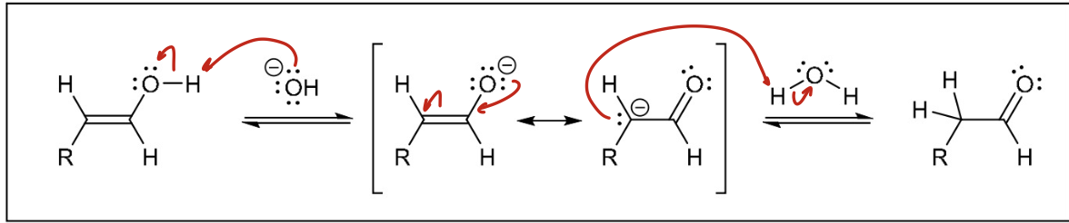
base catalyzed tautomerization


reduction with a poisoned catalyst
H2, Lindlar’s cat

dissolving metal reduction
Na,NH3(I)

hydrogenation
H2, Pt

alkylation
1) NaNH2
2)RX

ozonolysis
1) O3 2) H2O

halogenation (2 eq)
xs X2 , CCl4

halogenation (1 eq)
X2 (one equiv.), CCL4

hydroboration-oxidation
1)R2BH
2)H2O2, NaOH

acid catalyzed hydration
1)HgSO4, H2O2, H2O

hydrohalogenation (1 eq)
HX (one equiv.)

Elimination
1) xs NaNH2
2) H2O

elimination
1) xs NaNH2
2) H2O

hydrohalogenation (2 eq)
xs HX