1/13
Looks like no tags are added yet.
Name | Mastery | Learn | Test | Matching | Spaced | Call with Kai |
|---|
No analytics yet
Send a link to your students to track their progress
derivative of sinx
cosx
derivative of cosx
-sinx
derivative of tanx
sec²x
derivative of cscx
-cotxcscx
derivative of secx
tanxsecx
derivative of cotx
-csc²x
derivative of ex
ex
derivative of ax
ax⋅lna
derivative of lnx
1/x
derivative of logax
1/(x⋅lna)
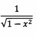
derivative of sin-1(x)

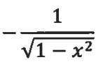
derivative of cos-1(x)

derivative of tan-1(x)

derivative of f^(-1)(a)
