Common Taylor Series Summations

0.0(0)
Studied by 0 people
call kaiCall Kai
learnLearn
examPractice Test
spaced repetitionSpaced Repetition
heart puzzleMatch
flashcardsFlashcards
GameKnowt Play
Card Sorting

1/4

flashcard set

Earn XP

Description and Tags

Summations for x=0

Last updated 6:08 PM on 4/30/26
Name
Mastery
Learn
Test
Matching
Spaced
Call with Kai

No analytics yet

Send a link to your students to track their progress

5 Terms

1
New cards

e^x

knowt flashcard image
2
New cards

sin(x)

knowt flashcard image
3
New cards

cos(x)

knowt flashcard image
4
New cards

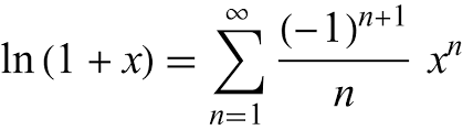
ln(1+x)

knowt flashcard image
5
New cards

1/(1-x)

knowt flashcard image