1/29
Looks like no tags are added yet.
Name | Mastery | Learn | Test | Matching | Spaced | Call with Kai |
|---|
No analytics yet
Send a link to your students to track their progress
Metric space definition

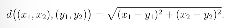
Standard metric

Open ball definition

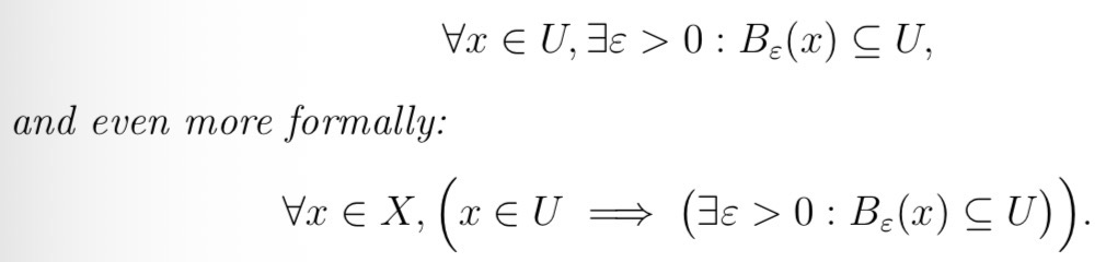
Open ball lemma
If a point is in an open ball, then there exists an open ball centred in that point which is contained inside the open ball.

Metric space open definition
A subset is open if for all points subset we can find an open ball which is contained in the subset.

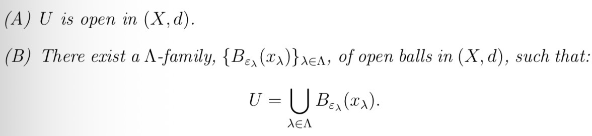
Open ball equivalence lemma
A subset is open if it is the union of a family of open balls in the metric space.

Topology definition
The empty set and the set itself must be open.
Intersections of open sets are open.
Arbitrary unions of open sets are open.

Standard topology

Discrete topology

Indiscrete topology

Finite complement topology

Bullet topology

Closed definition

Properties of closed subsets
The set itself and the empty set are closed.
The union of two closed sets is closed.
Arbitrary intersections of closed sets is closed.

Neighbourhood definition

Open neighbourhood equivalence theorem
A subset is open if and only if every point in the subset has an open neighbourhood contained in the subset.

Finer/coarser topology diagram

Hausdorff topology definition
Note that singletons are closed in Hausdorff topologies.

Product topology definition

Product topology equivalence lemma
A subset is open in the product topology if and only if it is the arbitrary union of the product of two open families of subsets.

Hausdorff - product topology proposition

Induced topology definition
The induced topology is formed by taking the intersection of the open sets in the original topology.

When is a subset closed in the induced topology?
A subset is closed in the induced topology if it is the intersection with a closed subset in the original topology and the subspace itself.

When is a subset open in the induced topology?
So if Y is open, then the open subsets in the topology that X induces on Y are precisely the open subsets of X that happen to be contained in Y.

Hausdorff induced topology proposition
If X is Hausdorff and Y is given the induced topology in X, then Y is Hausdorff.
Closure definition
The closure of A is the intersection of all closed sets containing A.
Note that A is closed if and only if A is the closure of A.

Closure facts

Adherent point definition
Note the closure of M is the set of all adherent points of M.

Dense subset definition
Subset A of X such that the closure of A is X.
Hausdorff closure proposition
