burrito making tips

0.0(0)
Studied by 0 people
call kaiCall Kai
learnLearn
examPractice Test
spaced repetitionSpaced Repetition
heart puzzleMatch
flashcardsFlashcards
GameKnowt Play
Card Sorting

1/24

encourage image

There's no tags or description

Looks like no tags are added yet.

Last updated 10:51 PM on 11/12/24
Name
Mastery
Learn
Test
Matching
Spaced
Call with Kai

No analytics yet

Send a link to your students to track their progress

25 Terms

1
New cards

2022

2
New cards

0

3
New cards

21

4
New cards

D

5
New cards

15

6
New cards

20

7
New cards

15

8
New cards

36

9
New cards

71

10
New cards

3

11
New cards

91/180

12
New cards

3/2

13
New cards

-34

14
New cards

2

15
New cards

B

16
New cards

5

17
New cards

1/105

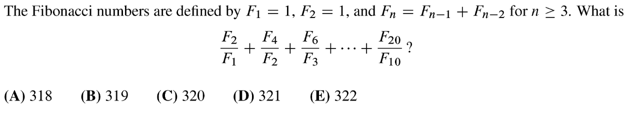
18
New cards

319

19
New cards

B

20
New cards

911

21
New cards

154

22
New cards

15

23
New cards

B

24
New cards

6

25
New cards

243

Explore top notes

note
AP Biology Course Review Part 2
Updated 1636d ago
0.0(0)
note
June exam
Updated 1029d ago
0.0(0)
note
Medical Terminology
Updated 1220d ago
0.0(0)
note
Travail et État — Philosophes
Updated 1027d ago
0.0(0)
note
APES 5.3
Updated 443d ago
0.0(0)
note
Chapter 7: Impulse and Momentum
Updated 716d ago
0.0(0)
note
Sources of Finance for Businesses
Updated 361d ago
0.0(0)
note
AP Biology Course Review Part 2
Updated 1636d ago
0.0(0)
note
June exam
Updated 1029d ago
0.0(0)
note
Medical Terminology
Updated 1220d ago
0.0(0)
note
Travail et État — Philosophes
Updated 1027d ago
0.0(0)
note
APES 5.3
Updated 443d ago
0.0(0)
note
Chapter 7: Impulse and Momentum
Updated 716d ago
0.0(0)
note
Sources of Finance for Businesses
Updated 361d ago
0.0(0)

Explore top flashcards

flashcards
vocab lesson 19 and 20
95
Updated 1046d ago
0.0(0)
flashcards
psych chapter 8
33
Updated 1232d ago
0.0(0)
flashcards
Latin Wk. 2
54
Updated 953d ago
0.0(0)
flashcards
Nl woorden 23-44
22
Updated 158d ago
0.0(0)
flashcards
PSY 411 Chapter 1 Notes
39
Updated 1124d ago
0.0(0)
flashcards
vocab lesson 19 and 20
95
Updated 1046d ago
0.0(0)
flashcards
psych chapter 8
33
Updated 1232d ago
0.0(0)
flashcards
Latin Wk. 2
54
Updated 953d ago
0.0(0)
flashcards
Nl woorden 23-44
22
Updated 158d ago
0.0(0)
flashcards
PSY 411 Chapter 1 Notes
39
Updated 1124d ago
0.0(0)