1/77
Looks like no tags are added yet.
Name | Mastery | Learn | Test | Matching | Spaced | Call with Kai |
|---|
No analytics yet
Send a link to your students to track their progress
Discrete Uniform E[X]
(n+1)/2
Discrete Uniform Var[X]
(n^2-1)/12
Binomial
Counts the number of successes in n independent Bernoulli trials, each with the same probability of success p.
Binomial Example
a. Flipping a coin n times and counting the number of heads
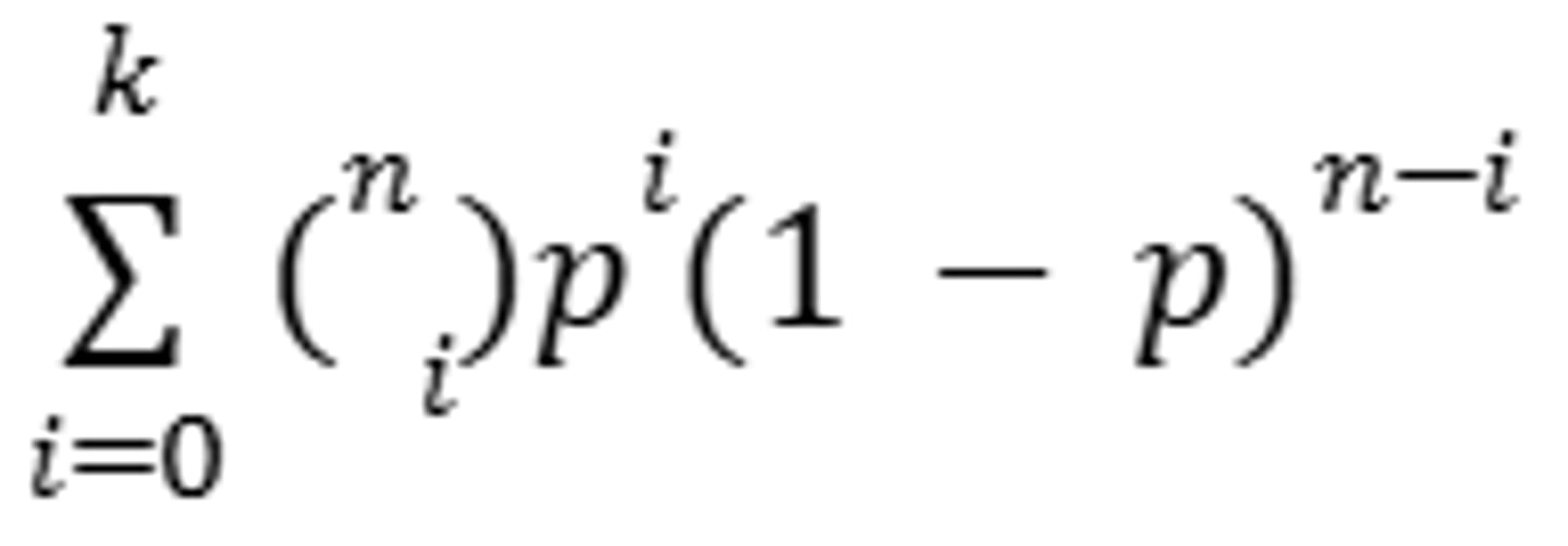
Binomial P(X=x)

Binomial P(X<=x)

Binomial E[X]
np
Binomial Var[X]
npq
Geometric
The number of independent Bernoulli trials needed to get the first success, where each trial has the same probability of success p
Geometric Example
Shooting hops until you make a three-point shot
Discrete Uniform
A discrete uniform r.v. is one where all outcomes are equally likely
Discrete Uniform Examples
a. Flipping a coin n times and counting the number of heads
b. Number of defective items in a batch of n products
Discrete Uniform P(X=x)
1/n
Discrete Uniform P(X<=X)
x/n, 1<=x
Geometric Pr(X=k)

Geometric Pr(X<=k)

Geometric E[X]
q/p
Geometric Var[X]
q/p^2
Negative Binomial
Generalization of the geometric distribution
Negative Binomial Example
Number of missed free-throws before the 10th success
Negative Binomial Pr(M=k)

Negative Binomial Pr(M<=k)

Negative Binomial E[X]
rq/p
Negative Binomial Var[X]
rq/p^2
Hyper-geometric
The number of successes in a sample of size n drawn without replacement from a finite population of size n that contains exactly G good outcomes and B bad outcomes.
Hyper-geometric Example
Drawing cards from a deck without replacement
Hyper-geometric Pr(X=x)

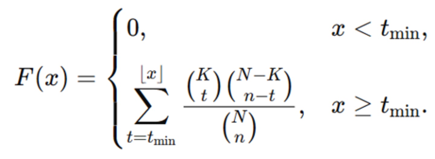
Hyper-geometric Pr(X<=x)

Hyper-geometric E[X]

Poisson
Used to count the number of times a random and sporadically occurring phenomenon actually occurs over a period of observation.
Poisson Examples
Misprints in a manuscript
Phone calls coming into a call-service center
Poisson Pr(X=k)

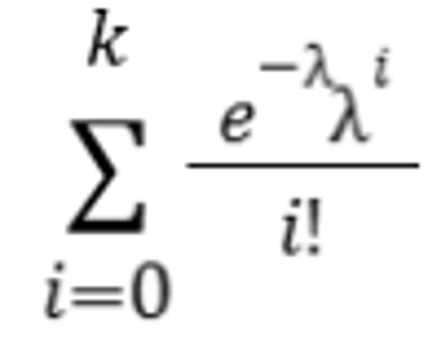
Poisson Pr(X<=k)

Poisson E[X]
λ
Poisson Var(X) =
λ
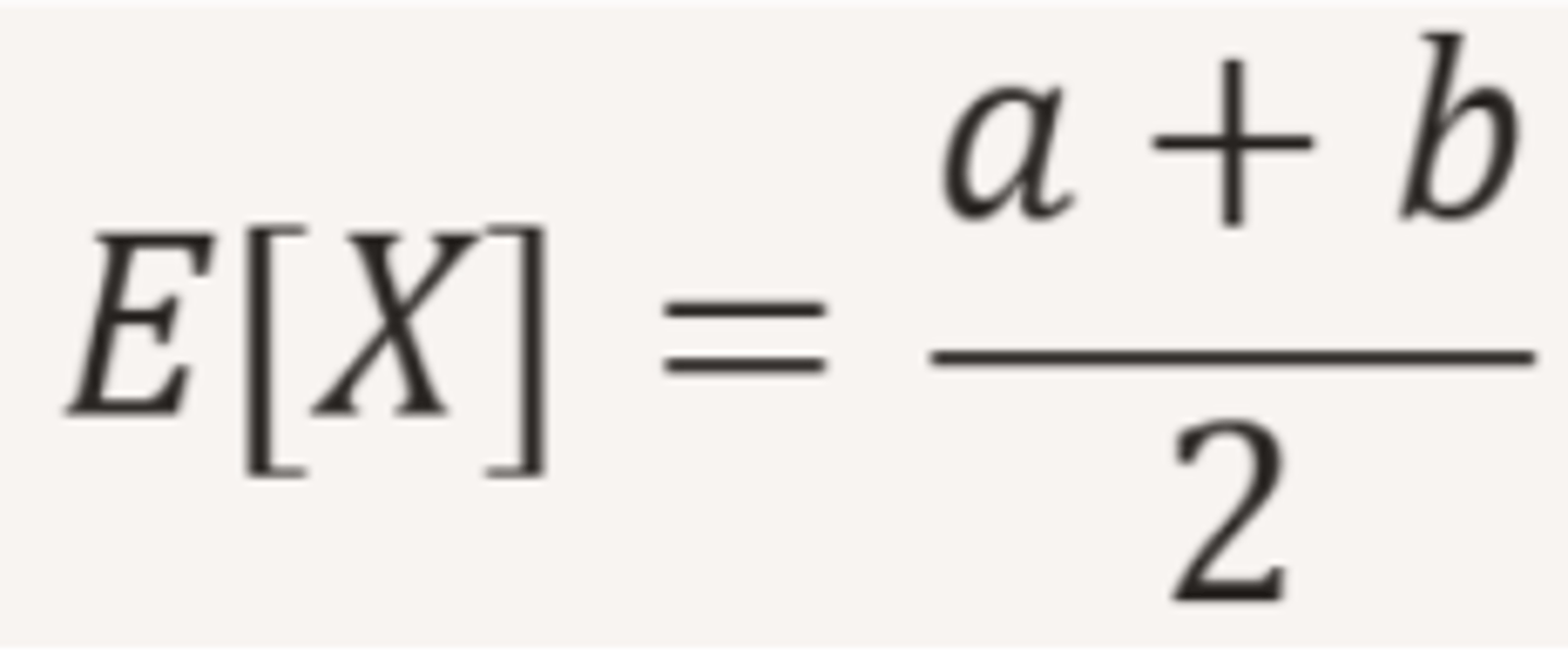
Continuous Uniform
A continuous uniform random variable models a situation where every value in an interval is equally likely.
Continuous Uniform Examples
A bus arrival time uniformly distributed between 0 and 10 minutes
A random point chosen along a 2‑meter stick
Continuous Uniform f(x)

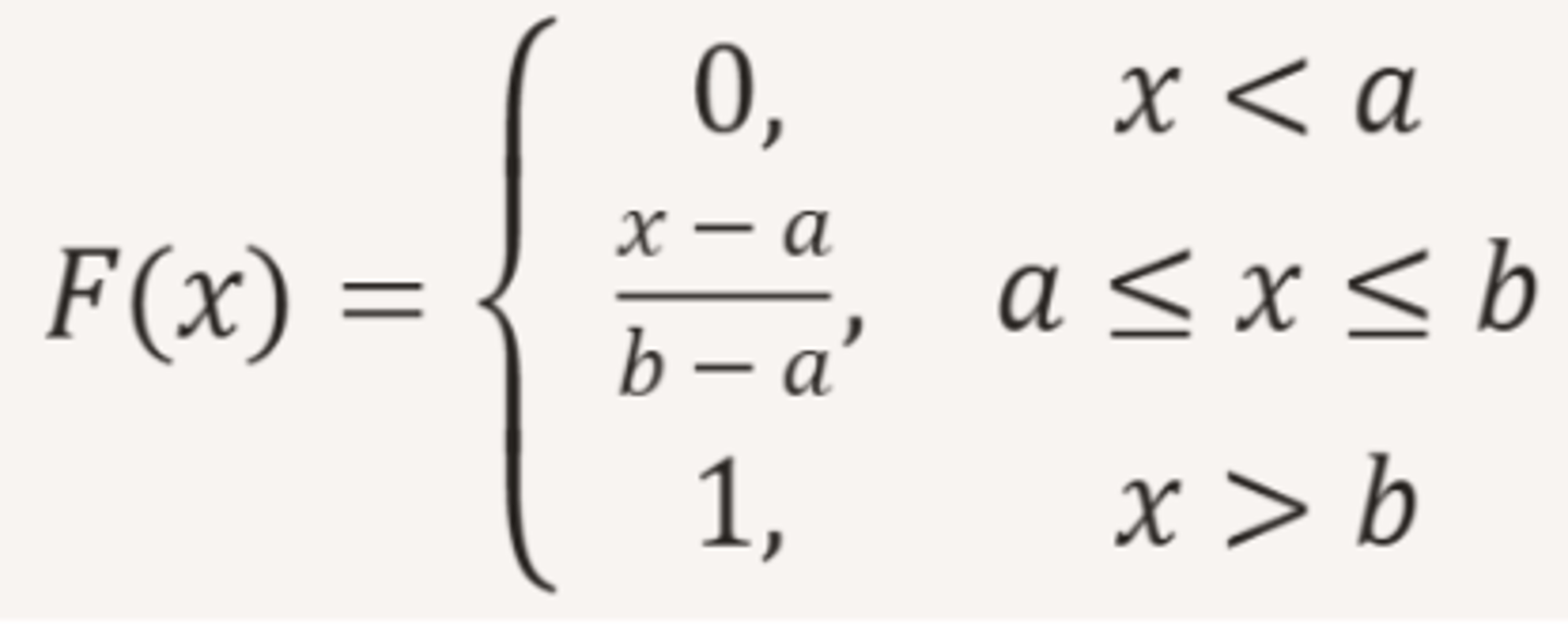
Continuous Uniform F(x)

Continuous Uniform E[X]

Continuous Uniform Var[X]

Exponential
The exponential distribution models waiting times between independent events that occur at a constant average rate.
Exponential Examples
Time between customer arrivals at a service counter
Time until a radioactive particle decays
Exponential f(x)

Exponential F(x)

Exponential E[X]
1/λ
Exponential Var[X]
1/λ^2
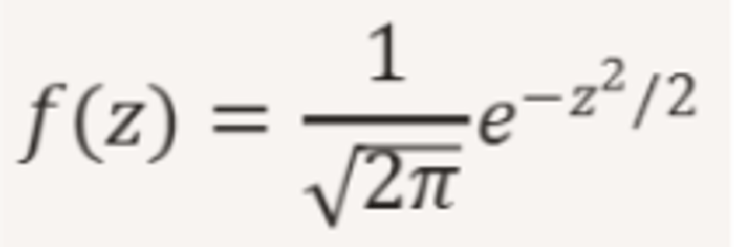
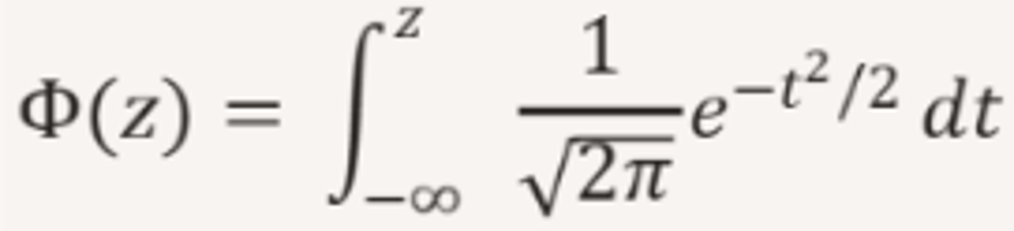
Standard Normal
Models standardized measurements that arise from many small, independent sources of variation.
Standard Normal Examples
Standardized test scores (after converting to z‑scores)
Measurement errors in engineering and physics
Heights, weights, and biological traits (after standardization)
Standard Normal f(x)

Standard Normal F(x)

Standard Normal E[X]
0
Standard Normal Var[X]
1
General Normal
The general normal distribution models continuous quantities influenced by many small, independent sources of variation.
General Normal Examples
Human traits such as height, weight, reaction time
Aggregated measurement errors
General Normal f(x)

General Normal F(x)

General Normal E[x]
µ
General Normal Var[x]
σ^2
Lognormal
Models positive‑valued quantities whose logarithm is normally distributed. It naturally appears when a process involves multiplicative effects rather than additive ones.
Lognormal Examples
Component lifetimes in reliability engineering
Time‑to‑failure for mechanical systems with multiplicative degradation
Income distributions and wealth models
Lognormal f(x)

Lognormal F(x)

Lognormal E[X]

Lognormal Var(X)

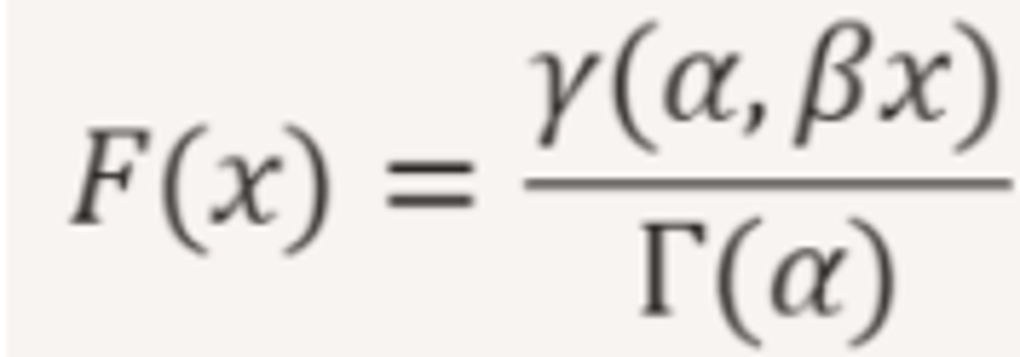
Gamma
Models positive‑valued quantities that accumulate through additive waiting times.
Gamma Examples
Total time until the k‑th failure in reliability engineering
Lifetimes of components with multiple sequential degradation stages
Rainfall amounts and hydrology modeling
Gamma f(x)

Gamma F(X)

Gamma E[X]

Gamma Var[X]

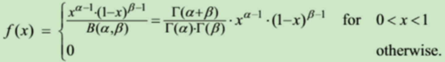
Beta
Models quantities constrained to the interval [0,1].
Beta Examples
Reliability: modeling component success probabilities
Random variables representing fractions (e.g., proportion of time a system is operational)
Modeling bounded physical quantities (e.g., porosity, humidity, mixture ratios)
Beta f(x)

Beta F(X)

Beta E[X]

Beta Var(X)

Still learning (10)
You've started learning these terms. Keep it up!