1/40
carboxylic acid derivatives, enols/enolates, and amines
Name | Mastery | Learn | Test | Matching | Spaced | Call with Kai |
|---|
No analytics yet
Send a link to your students to track their progress
Reduction of aldehydes and ketones to 1° and 2° alcohols (20.4)
aldehyde reacting with (NaBH4 + CH3OH) OR (LiAlH4 + H2O) to 1° and 2° alc.

Reduction of α,β-unsaturated aldehydes and ketones (20.4C)
alkene + reagent

Reduction of acid chlorides (20.7A)

Reduction of esters (20.7A)

Reduction of carboxylic acids to 1° alcohols

Reduction of amides to amines (20.7B)

Oxidation of aldehydes to carboxylic acids (20.8)

Reactions with Organometallic Reagents: Reaction with aldehydes and ketones to form 1°, 2°, and 3° alcohols (20.10)

Reactions with Organometallic Reagents: reaction with esters to form 3° alcohols (20.13A)

Reactions with Organometallic Reagents: reaction with acid chlorides (20.13B)

Reactions with Organometallic Reagents: reaction with carbon dioxide—Carboxylation (20.14A)

Reactions with Organometallic Reagents: reaction with epoxides

Reaction with α,β-unsaturated aldehydes and ketones (20.15B)


Major product of reaction?


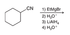
Predicted product of reaction?


Predicted product of reaction?


Predicted product of reaction?


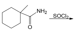
Major product of reaction?


What reagents are needed for this reaction?
1. Jones reagent (chromic acid + H2SO4 + H2O)
2. ex NH3

Predicted product?


What reagents are needed for this reaction?
1. LiAlH4 (makes in primary amine)
2. H2O

What reagents are needed for this reaction?
1. SOCl2
2. xs NH3
3. 1) xs LiAlH4 2) H2O

What reagents are needed for this reaction?
1. Jones reagent
2. SOCl2
3. xs NH3
4. SOCl2

What enolate is formed?


What proton is most acidic?
C, conjugate base stabilized by res.

What proton is most acidic?
HB: its conjugate base stabilized by res

What reagents are needed for this reaction?
1. LDA (low temp)
2. Ch3Ch2-Cl

What reagents are needed for this reaction?
1. Na-H (25C)
2. Ch3-Cl

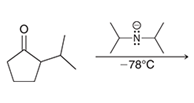
Major predicted product?


Major predicted product?


IUPAC name?
cyclobutananime

IUPAC name?
ethyl butanoate

IUPAC name?
3,3-dimethyl-butananime

What hydrogen marked is the most basic?
B, its lone pair is available to accept H+

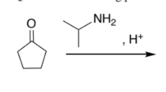
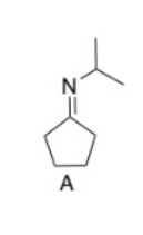
Product A?

Rank based on basicity (high to low)
D > A > B > C

Product A?


What halides cannot be used for Gabriel synthesis? (making a 1° amine)
B and C

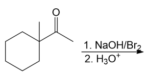
Ketone w/ H+ and Br2


Ketone, halide w/ NaOH (base)
