1/17
Looks like no tags are added yet.
Name | Mastery | Learn | Test | Matching | Spaced | Call with Kai |
|---|
No analytics yet
Send a link to your students to track their progress

Slope of Secant Line


Slope of Tangent Line
at x=a. Instantaneous rate of change.




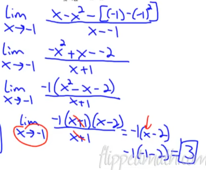
Find the instantaneous rate of change of f(x) = x - x2 at x = -1


Function f(x) = 5ln(2/x)
Instantaneous rate of change at x = 4

Function f(x) = sin x
Instantaneous rate of change at x = π/2
Derivative
An expression that calculates the instantaneous rate of change of a function at any given x-value. (Slope of the tangent line)
Explanation of derivative
The slope of the tangent line of f(x) at x = a is b

f(x) is how many meters you have run, x represents the minutes. What does this mean?
After 8 minutes, you have ran 1,500 meters.

f(x) is how many meters you have run, x represents the minutes. What does this mean?
At the 3rd minute, you were running 161 meters per minute
dy/dx
Derivative of y with respect to x
Mathematical definition of a derivative

Point slope form (Equation of the tangent line
y - f(a) = f’(a)(x-a)

Differentiability
When the derivative exists for each point in the domain. Graph must be smooth line or curve for the derivative to exist.
Local Linearity
When the graph looks like a line when zoomed
A derivative fails to exist when:
Discontinuity
Corner/Cusp
Vertical Tangent
True or False: Differentiability implies continuity
True
True or False: Continuity implies differentiability
False