1/50
Looks like no tags are added yet.
Name | Mastery | Learn | Test | Matching | Spaced | Call with Kai |
|---|
No analytics yet
Send a link to your students to track their progress
ULS Effective stress analysis is used for what type of soil?
Coarse Grained
ULS Total stress analysis is used for what type of soil?
Fine Grained
2 failure modes for deep foundations
Local / Punching shear at the toe
Sliding friction along the side of the pile
Bearing Capacity of deep foundation is a sum of two components
Toe bearing capacity
Side friction
3 types of piles
Driven Piles
Drilled shaft
Auger Piles
2 types of driven piles
Low DIsplacement and High Displacement
Which method we use for coarse grain soil service limit State
Schemertman method
Which method we use for fine grain soil service limit state
Elogp method
Where do Schmertmann found maximum strain to be?
0.5B-B below the footing base

Where is the maximum strain for a square footing? When is the strain 0 for square footing
Maximum strain, Zf =0.5* B
Strain is 0 Zf=2*B


Where is the maximum strain for a continuous footing? When is the strain 0 for continuous footing?
Maximum strain, Zf =1* B
Strain is 0 when Zf=4*B

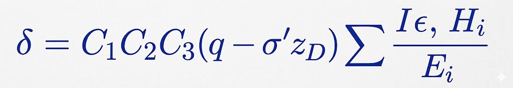
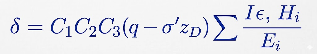
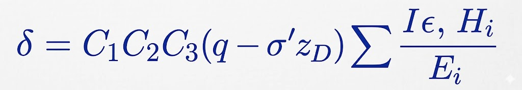
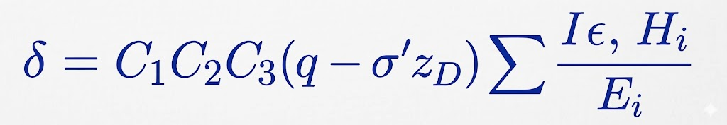
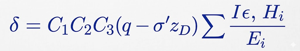
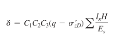
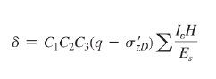
What is q?
(Load + Weight of footing)/ Area

Specific Weight of concrete in SI and English
24 KN/m3 or 150 lb/ft3
Which type of settlement controls in Fine Grained Soil? What is that?
Consolidation Settlement, It is compression of soil because water seeps out of the void.
Explain the process of consolidation settlement
When loads are applied to fine grained soil, initially all loads are carried by the water, (pore water pressure goes up).
As times passes by, water seeps out and it is transferred to the soil, effective stress increases and soil settles.
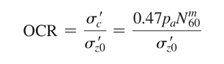
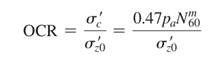
What is Normally Consolidated Soil (NC)? What is the OCR?
equal to 1

What is Overly Consolidated Soil (NC)? What is the OCR?
greater than 1

What is Cr?
Recompression curve slope
What is Cc?
Virgin Curve slope
In a consolidation chart what is y axis and what is x axis?
Y axis = e
X axis = log (σ’z)
What is the maximum allowable settlement for residential?
1 in

for this table D is calculated from where?
Calculated from the soil surface


How to calculate Allowable Angular distortion

How are Driven piles categorized?
Low Displacement vs High Displacement
How are Drilled Shafts usually categorized?

How are Auger Piles Categorized?

Can Low displacement get plugged and behace like high displacement? When?
Yes, When it gets plugged.
What are two parts of Nominal Load Capacity of a pile?
Load Capacity of the Toe and Load capacity of the side Friction

Formula for qn’ (Toe Bearing Capacity)

Where is Zone of Influence for driven toe bearing capacity
3B below toe and 1 B above toe

What is Beta Method for? What is Alpha method used for?
Beta: Used for Cohesionless Soil
Alpha: Used for Cohesion Soil
In clay most of the side friction is from side friction or toe capacity?
Side Friction
In sand most of the side friction is from side friction or toe capacity?
toe capacity
unit weight formula


where do you calculate the denominator? The depth, is it calculated from the bottom of the footing or the ground surface?
the Effective stress at location where Strain influence factor is 0
Ground surface

What is the value of Pa in this equation in SI and English
2000 psf/ 100KN

What is σ’zD?
It is the effective stress at the embedment Level

What is H
H is thickness of the layer

How do you fin E
find E in the middle of each alter

How do you do you find IE
Find IE in the middle of each layer

what is the unit for t?
Years

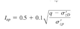
What depth do you use for σ’zp

For these formulas, Wher is Zf calculated?
Middle of the layer

The answer of this equation is in what unit?
ft

What is the unit of E in this equation and what is the preferred unit for q and σ’zd?
psf

if the footing is embedded, what is the depth used to calculate σ’zo? Where is σ’zo calculated?
Depth is calculated from the ground level, before the footing is built. σ’zo is calculated in the middle of the layer

For this equation, when the foundation is embedded, when calculating σ’zf? Is the geostatic pressure calculated from the bottom of the footing or the ground surface?
ground surface

If using this equation for Toe Baring capacity, where do you calculate sima prime Z o
At the depth of the Toe

What is D and What is B in this?
In that chart, D/B represents the embedment ratio of your foundation.
Here is exactly what those two letters stand for:
D (Depth): The depth of the foundation or pile embedment.
B (Breadth/Width): The diameter or width of the foundation or pile.

what is gamma in this equation? What if it is under the GWT
Weight of the soil in the zone of influence

To calculate friction strength, in a cohesion soil you start at 0, but then how do you ignore the first 5 ft/1.5m
Do not account for the surface area.