1/47
Looks like no tags are added yet.
Name | Mastery | Learn | Test | Matching | Spaced | Call with Kai |
|---|
No analytics yet
Send a link to your students to track their progress
Recettori beta (caratteristiche e localizzazione)
GPCR tutti accoppiati a proteina Gs=attivano l’adenilato ciclasi
Recettori eccitatori
B1 cuore—>x aumento frequenza, forza di contrazione, velocità di conduzione e ritmo cardiaco
B2 muscolatura lisci—> rilassamento GI, bronchi e vescica
B3 tessuto adiposo—> lipolisi e termogenesi
Descrizione, classificazione ed usi dei farmaci agonisti dei recettori beta
Agonisti non selettivi: ISOPROTENEROLO (isoprenalina)
Agonisti selettivi per i b1: insufficienza cardiaca—>DOBUTAMINA
Agonisti selettivi per i b2: asma, rilassanti del miometrio—> ORCIPRENALINA, TERBUTALINA, SOTERENOLO, SALBUTAMOLO, SALMETEROLO
Agonisti selettivi per i b3: MAI DIVENTATI FARMACI struttura ariletanolamminica, struttura arilossipropanolammnica, MIRABEGRON
ISOPRENALINA/ISOPROTENEROLO
P.123
Molecola che assomigli all’adrenalina ma con un maggior carattere alchilico su N.
Selettiva per i recettori beta ma non su i sottotipi.
Usato come racemato come broncodilatatore, vasodilatatore periferico e stimolatore cardiaco in condizioni di emergenza.


Riconosci la molecola
ISOPRENALINA/ISOPROTENEROLO
Caratteristiche strutturali di una molecola b1 selettiva o b2 selettiva
P.123-124
Sostituente isopropile su N—> selettivo b1
Sostituente terbutile su N—> selettivo b2
Ma se aggiungiamo un alchile in alfa ad N o ciclizziamo l’ammina è sopportabile la presenza di un sostituente etilico per l’attività in b2
Come rendere gli agonisti b2 meno selettivi alle COMT + esempio di farmaci per ogni modifica
Rimuovere la porzione catecolica (riconosciuta dalle COMT) tramite lo spostamento dei gruppi fenolici in 1 e 3. Esempio ORCIPRENALINA e TERBUTALINA
Sostituzione di un OH catecolico con un gruppo solfonamminico o idrossimetilico. Es. SOTERENOLO e SALBUTAMOLO
Proteggere il gruppo catecolico con esteri o gruppi che possano essere rimossi in vivo rigenerando il catecolo
ORCIPRENALINA
Non presenta il catecolo= maggiore emivita
Presenta un gruppo isopropilico quindi non selettiva per beta1 e beta2

TERBUTALINA
Non presenta il catecolo= maggiore emivita
Presenta un gruppo terzbutilico quindi selettiva per beta2.
Usata per l’asma tramite la stimolazione dei recettori beta2 a livello della muscolatura liscia della trachea ma usata anche per rilassare la muscolatura uterina ed evitare parti prematuri in casi specifici

SOTENEROLO

SALBUTAMOLO
Molecola selettiva per i beta2, non presenta più il catecolo=maggiore emivita
Usato per il trattamento dell’asma bronchiale.
Effetti collaterali: vasodilatazione periferica e tremori muscolari—> si possono evitare tramite la somministrazione via aerosol.
Si somministra il racemo Ventolin ma esiste anche il Levalbuterolo, ossia l’eutomero con configurazione R. È avvenuta una racemic switch perché l’enantiomero S ha proprietà pro-infiammatorie.


Sintesi salbutamolo

SALMETEROLO
Agonista selettivo per i beta2
Struttura:
scheletro del salbutamolo
Spaziatore da 6 C
Ossigeno etereo
Anello aromatico
Non presenta il catecolo=resistente alle COMT
Lenta comparsa dell’effetto e lunga durata d’effetto= no per asma ma per terapie prolungate.
Maggiori interazioni con il recettore perchè la molecola è in grado di ripegarsi.


Riconosci la molecola:
ORCIPRENALINA

Riconosci la molecola:
TERBUTALINA

Riconosci la molecola:
SOTERENOLO

Riconosci la molecola:
SALBUTAMOLO

Riconosci la molecola:
SALMETEROLO
Agonisti b3 descrizione caratteristiche + meccanismo d’azione

MIRABEGRON + metabolita
Unica molecola in commerci che attiva i recettori beta3.
Struttura:
scheletro ariletanolammina
1 centro chirale
Altra porzione responsabile della selettività beta3
Viene usata per la terapia della vescica iperattiva perchè è in grado di ridurre i sintomi di incontinenza. Stimola i recettori beta3 sul muscolo detrusore della vescica inducendone il rilassamento ed aumentando la capacità della vescica riducendo lo svuotamento.
Effetti collaterali:
effetti tipici antimuscarinici come secchezza fauci, offuscamento vista, ecc…
Inibizione CYP2D6 =interazioni con altri farmaci
Ad alte dosi agonista beta1


Riconosci la molecola:
MIRABEGRON
DOBUTAMINA
Molecola selettiva beta1.
Si somministra il racemo:
enantiomero levogiro (S)—> agonista alfa1 e beta1
Enantiomero destrogiro (R)—> antagonista alfa1 e beta
Effetto sommativo= agonista beta1 con effetto inotropo positivo
Usi: stimolante cardiaco dopo un’operazione o in caso di shock cardiogeno. Stimola la contrazione del miocardio con anche effetti sulla frequenza ma lascia inalterata la pressione sanguigna.
Non può essere somministrata per via orale perchè presenta il catecolo quindi è sensibile alle COMT.


Riconosci la molecola:
DOBUTAMINA

Sintesi DOBUTAMINA

Classificazione e descrizione generale dei farmaci b-bloccanti
Usi:
reali: ipertensione, angina, aritmie, glaucoma
Potenzialmente utili: emicranie, ansie, tremore
DICLOROISOPROTERENOLO, PRONETALOLO —> ARILETANOLAMMINE E ARILOSSIPROPANOLAMMINE
non selettivi: PINDOLOLO, NADOLOLO e TIMOLOLO
b1 selettivi: PRACTOLOLO, ATENOLOLO, METOPROLOLO
B2 selettivi:
Profilo misto: LABETALOLO, CARVEDILOLO
DCI DICLOROISOPROTENEROLO

PRONETALOLO

SOTALOLO
Unica ariletanolammina ancora in commercio (le altre molecole sono tutte arilossipropanolammine)
Si ipotizza che l’attività di beta-bloccante sia dovuta al gruppo metansolfonammidico che essendo acido riesce and instaurare delle interazioni con il recettore ed in questo modo assume una conformazione non opportuna per l’attivazione. Viene usato come antiaritmico in quanto agisce sui canali del K+ a livello cardiaco andando a stabilizzare la membrana.

PROPRANOLOLO
Molecola con scheletro di riferimento per i beta bloccanti
Deriva dal pronetalolo in cui viene mantenuto il naftalene ma viene spostata la catena laterale dal C2 alla posizione C1–> incremento dell’attività e ridotta tossicità

Requisiti strutturali e stereochimica ARILETANOLAMMINE e ARILOSSIPROPANOLAMMINE
P.135
Conformazione tra OH e NH2–> gauche
Conformazione tra NH2 e Ar —> antiperiplanare
Stereochimica: ariletanolammina R, arilosssipropanolammina S (entrambe hanno l’OH nella stessa parte del piano=cuneo ma cambiano le priorità dei sostituenti)
SAR
fenolo= incompatibile con l’antagonismo beta
I composti orto sostituiti sull’anello aromatico sono più potenti dei meta e para
Gruppo alcolico secondario con stereochimica definita
Il sostituente sull’ammina deve contenere almeno 2C
La presenza di para sull’anello aromatico di sostituenti ammidici o eterei porta ad una cardioselettività (beta1)
Sintesi racema generale dei b-bloccanti

Sintesi enantioselettiva generale dei b-bloccanti


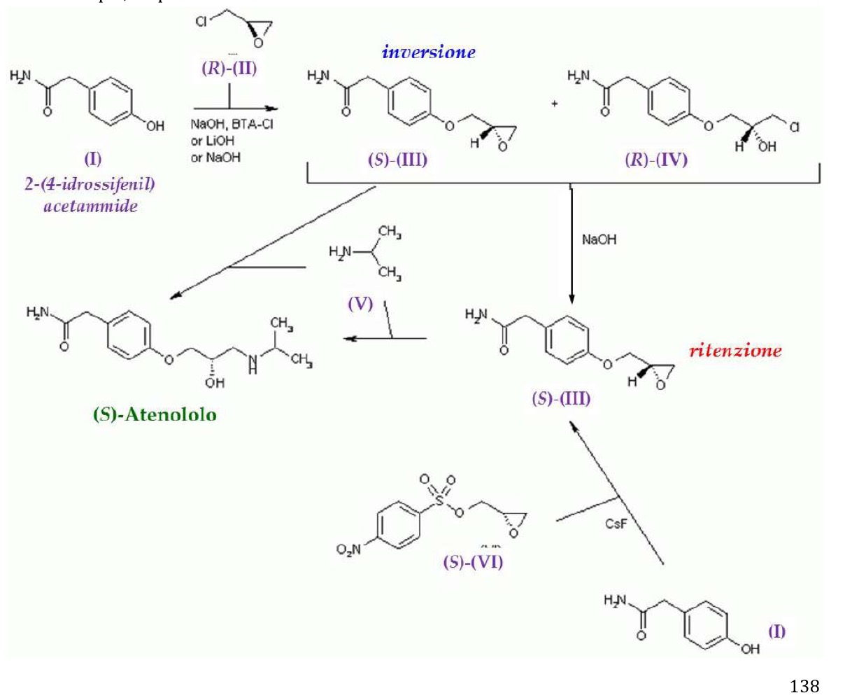
Sintesi ATENOLOLO


Sintesi TIMOLOLO

ATENOLOLO

TIMOLOLO

METOPROLOLO

LABETALOLO


Riconosci la molecola:
DCI DICLOROISOPROTERENOLO


Riconosci la molecola:
PRONETALOLO

Riconosci la molecola:
SOTALOLO

Riconosci la molecola:
PROPRANOLOLO

Riconosci la molecola:
ATENOLOLO

Riconosci la molecola:
TIMOLOLO
Riconosci la molecola:
PINDOLOLO

Riconosci la molecola:
NADOLOLO

Riconosci la molecola:
METOPROLOLO

Riconosci la molecola:
LABETALOLO

Riconosci la molecola:
CARVEDILOLO