AP Calc AB Formulas

0.0(0)
Studied by 5 people
call kaiCall Kai
learnLearn
examPractice Test
spaced repetitionSpaced Repetition
heart puzzleMatch
flashcardsFlashcards
GameKnowt Play
Card Sorting

1/129

encourage image

There's no tags or description

Looks like no tags are added yet.

Last updated 1:49 PM on 4/10/26
Name
Mastery
Learn
Test
Matching
Spaced
Call with Kai

No analytics yet

Send a link to your students to track their progress

130 Terms

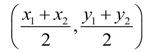
1
New cards
term image
knowt flashcard image
2
New cards
<p></p>

<p></p>
3
New cards
<p></p>

<p></p>
4
New cards
<p></p>

<p></p>
5
New cards
term image
knowt flashcard image
6
New cards
term image
knowt flashcard image
7
New cards
term image
knowt flashcard image
8
New cards
term image
knowt flashcard image
9
New cards
term image
knowt flashcard image
10
New cards
term image
knowt flashcard image
11
New cards
term image
knowt flashcard image
12
New cards
term image
knowt flashcard image
13
New cards
term image
knowt flashcard image
14
New cards
term image
knowt flashcard image
15
New cards
term image
knowt flashcard image
16
New cards
term image
knowt flashcard image
17
New cards
term image
knowt flashcard image
18
New cards
term image
knowt flashcard image
19
New cards
term image
knowt flashcard image
20
New cards
term image
knowt flashcard image
21
New cards
term image
knowt flashcard image
22
New cards
term image
knowt flashcard image
23
New cards
term image
knowt flashcard image
24
New cards
term image
knowt flashcard image
25
New cards
term image
knowt flashcard image
26
New cards

pi/6

knowt flashcard image
27
New cards

pi/4

knowt flashcard image
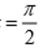
28
New cards

pi/3

knowt flashcard image
29
New cards

From left:

knowt flashcard image
30
New cards

From right:

knowt flashcard image
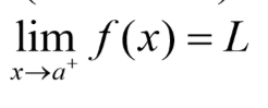
31
New cards

Definition of a limit

knowt flashcard image
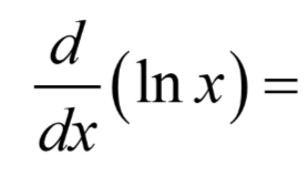
32
New cards
term image
knowt flashcard image
33
New cards
term image
knowt flashcard image
34
New cards
term image
knowt flashcard image
35
New cards
term image
knowt flashcard image
36
New cards
term image
knowt flashcard image
37
New cards
term image
knowt flashcard image
38
New cards
term image
knowt flashcard image
39
New cards
term image
knowt flashcard image
40
New cards
term image
knowt flashcard image
41
New cards
term image
knowt flashcard image
42
New cards
term image
knowt flashcard image
43
New cards
term image
knowt flashcard image
44
New cards
term image
knowt flashcard image
45
New cards
term image
knowt flashcard image
46
New cards
term image
knowt flashcard image
47
New cards
term image
knowt flashcard image
48
New cards
term image
knowt flashcard image
49
New cards
term image
knowt flashcard image
50
New cards
term image
knowt flashcard image
51
New cards
term image
knowt flashcard image
52
New cards
term image
knowt flashcard image
53
New cards
term image
knowt flashcard image
54
New cards
term image
knowt flashcard image
55
New cards
term image
knowt flashcard image
56
New cards
term image
knowt flashcard image
57
New cards
term image
knowt flashcard image
58
New cards
term image
knowt flashcard image
59
New cards
term image
knowt flashcard image
60
New cards
term image
knowt flashcard image
61
New cards
term image
knowt flashcard image
62
New cards
term image
knowt flashcard image
63
New cards
term image
knowt flashcard image
64
New cards
term image
knowt flashcard image
65
New cards
term image
knowt flashcard image
66
New cards
term image
knowt flashcard image
67
New cards
term image
knowt flashcard image
68
New cards
term image
knowt flashcard image
69
New cards
term image
knowt flashcard image
70
New cards
term image
knowt flashcard image
71
New cards
term image
knowt flashcard image
72
New cards
term image
knowt flashcard image
73
New cards
term image
knowt flashcard image
74
New cards
term image
knowt flashcard image
75
New cards
term image
knowt flashcard image
76
New cards
term image
knowt flashcard image
77
New cards
term image
knowt flashcard image
78
New cards
term image

<p></p>
79
New cards
term image
knowt flashcard image
80
New cards
term image
knowt flashcard image
81
New cards
term image
knowt flashcard image
82
New cards
term image
knowt flashcard image
83
New cards
term image
knowt flashcard image
84
New cards
term image
knowt flashcard image
85
New cards
term image
knowt flashcard image
86
New cards
term image
knowt flashcard image
87
New cards
term image
knowt flashcard image
88
New cards
term image
knowt flashcard image
89
New cards
term image
knowt flashcard image
90
New cards
term image
knowt flashcard image
91
New cards
term image
knowt flashcard image
92
New cards
term image
knowt flashcard image
93
New cards
term image
knowt flashcard image
94
New cards
term image
knowt flashcard image
95
New cards
term image
knowt flashcard image
96
New cards
term image
knowt flashcard image
97
New cards
term image
knowt flashcard image
98
New cards
term image
knowt flashcard image
99
New cards
term image
knowt flashcard image
100
New cards
term image
knowt flashcard image