1/28
Looks like no tags are added yet.
Name | Mastery | Learn | Test | Matching | Spaced | Call with Kai |
|---|
No analytics yet
Send a link to your students to track their progress
Protein digestion: Trypsinogen
Trypsinogen gets converted to trypsin in the pancreas
Trypsin activates all other enzymes (Zymogens):
Chymotrypsinogen → chymotrypsin
Protelastase → Elastase
Procarboxypeptidase → Carboxypeptidase

AA absorption
Facilitated diffusion
Active transport **
NA dependent transporter (needs ATP)
Absorbed through the PEPT1


Assessing Protein Quality: Protein Efficiency Ratio (PER)
Values compared to 2.0 g of whole egg


Assessing Protein Quality: Chemical score
Test protein is chemically digestion into free AA

Nitrogen Balance
Intake of N and N loss
N should = 0
Not enough protein → NB < 0 (-ve)
Poor protein quality

Atkins diet
High protein
Low CHO
Higher Fat intake
South Beach diet
Protein consistent but macronutrient content varies
Zone diet
Balanced diet
Protein supplements
Balance of AA are best
Supplements usually high in BCAAs
Rapidly absorbed and delivered to muscle
Bypass the liver
Marasmus
Low protein and calorie malnutrition
Body switches to starvation mode
Use energy reserves

Kwashiorkor
Protein deficiency
High CHO foods → Cassava
Weaned from breast milk to cassava
Osmotic imbalance in gut = swelling
Liver enlarged due to inability to export fat from liver (no VLDL made)

Reactions of Protein Catabolism
Excess AA
Amino group → Ammonium
Gets excreted into urea cycle
Gets excreted into urine
Carbon skeleton → Glucose or Acetyl CoA
Glucogenic or ketogenic AA

Differences in fed and fasted state
Fasted state involved formation of glutamine and alanine
Fed state mostly glutamine, involves liver and kidney
Fed state excretes NH4+ as urea
Fasted state mainly excretes as NH4+ directly

Alkalosis
Fed state with high dietary protein intake
High AA catabolism increase Bicarbonate
Increase pH to more basic

Acidosis
Fasting/starvation
AA broken down and release glucogenic AA
pH drops
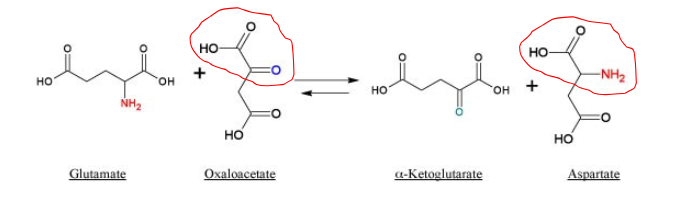
Glutamate
Important in AA catabolism
End product of transamination rxns
α-ketoacid → α-ketoglutarate
Aspartate
Donates Amino group in urea cycle (turns into asparagine)
α-ketoacid → oxaloacetate
Alanine
Inter-organ N carrier
Muscle to liver
α-ketoacid → pyruvate
Glutamine
Most abundant
Inter-organ carrier
Donate amino group to other rxn (turns into glutamate)
4 rnx more N → organs → excretion: Transamination
amino acid ↔ α-keto acid → Aminotransferases
Aminotransferases → GPT and GOT
Glutamate almost always present in transamination reactions
α-ketoglutarate is almost always one of the reactants
α-ketoglutarate = amino group acceptor
Glutamate is almost always one of the products

4 rnx more N → organs → excretion: Oxidative deamination
Glutamate main AA that undergoes oxidative deamination
Because its main product of transamination
Amino group released from glutamate backbone
Glutamate → α-ketoglutarate + NH4+
Done by Glutamate dehydrogenase

4 rnx more N → organs → excretion: Glutamine production
Glutamate → Glutamine
Done by Glutamine synthetase
Fed: NH4+ travels to liver in
Fasted: NH4+ travels to kidney

4 rnx more N → organs → excretion: Glutamate regeneration
Opposite to glutamine production
Release Amino group from glutamine side chain
Fed: active in liver → amino group for urea synthesis
Fasted: active in kidney

4 rnx more N → organs → excretion: Urea Cycle
Toxic NH4+ converted to urea in liver
Urea transported to kidney
Aspartate donates Amino group (to form urea)
Uses Bicarbonate nearby (prevent alkalosis)
Requires ATP

Cahill cycle (Glucose Alanine Cycle)
Pyruvate transaminated to Alanine
α-ketoglutarate + alanine → glutamate + pyruvate
Glutamate → Urea
Pyruvate → Glucose

Fed state N metabolsim
AA catabolism → Glutamine formation (from glutamate)
Glutamine transported to liver
Deliver Amino group for urea production
Urea transported to kidney
Excreted in urin
Fasted state of N metabolsim
AA catabolism → Glutamine formation (from glutamate) + Alanine (from pyruvate)
Glutamine transported to kidney
Converted to glutamate and remove amino group
Amino group excreted as urine
Alanine sent to liver
Ketogenic
Degraded AA can be converted into Acetyl CoA
Leucine and Lysine
Glucogenic
Degraded AA can be converted into Glucose
Alanine, Glutamate, Aspartate