1/20
Lipids
Name | Mastery | Learn | Test | Matching | Spaced | Call with Kai |
|---|
No analytics yet
Send a link to your students to track their progress

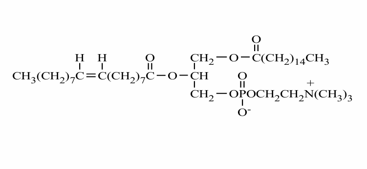
Phosphoglyceride

Monosaturated (Trans) FFA

Spingolipid (Phosphosphingo)

Micelle

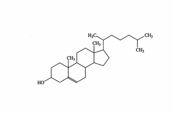
Cholesterol

Triglycerides (TAG)

Monosaturated (cis) FFA

Glycosphingolipids

Wax

glycerol

Ceramide

Diacylglycerol (DAG)

Fructose

Liposome

Polyunsaturated FFA

Glycolipid

Sphingophospholipid

Monoacylglycerols (MAG)

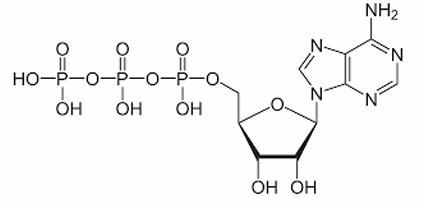
ATP

Sphingosine

Fluid mosaic membrane model