1/62
Looks like no tags are added yet.
Name | Mastery | Learn | Test | Matching | Spaced | Call with Kai |
|---|
No analytics yet
Send a link to your students to track their progress
Blood flow after the heart
elastic artery, muscular artery, arterioles, capillaries, venules, veins.

The structure of blood vessels
tunica externa, tunica media, tunica intima

what is the difference between venules and arterioles
venules just have tunica externa and endothelium, and arterioles just have tunica media and endothelium

what is the difference between elastic and muscular arteries
elastic arteries have a larger endothelium, while muscular arteries have a larger tunica media

tunica media
The middle and thickest layer of vessels, smooth muscle, allows the vessel to expand or contract in response to changes in blood pressure and tissue demand.

blood pressure in the veins
-Blood is at very low pressure.
-Blood is very far from the pumping effect of the heart.

where is blood velocity the lowest
capillaries
what is unique about the capillaries
Have large cross-sectional area, hence the low blood velocity

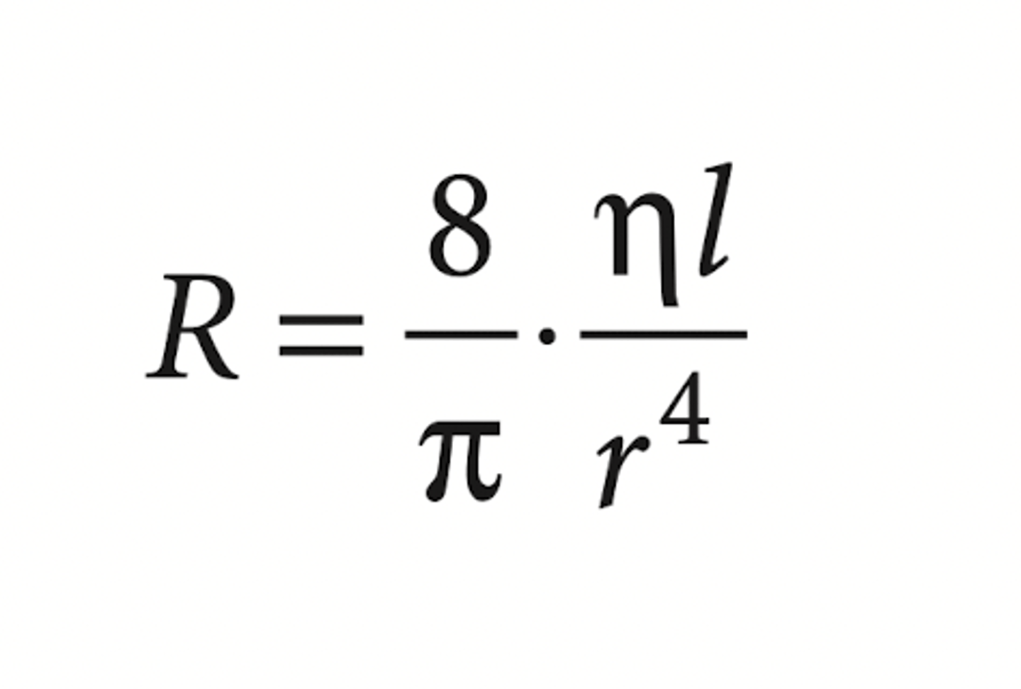
what is vascular resistance
the opposition to blood flow due to friction between blood and the walls of blood vessels

how is vascular resistance related to blood pressure
the higher the resistance, the higher the blood pressure

vascular resistance formula
8Ln/pi r^4

How can blood viscosity increase
dehydration, blood doping with erythropoietin

what can cause vasoconstriction
Sympathetic NS, angiotensin-renin system

what can cause vasodilation
Parasympathetic NS, nitric oxide

starling forces
a sum of the forces generated by hydrostatic and osmotic pressures; results in a greater attraction of fluid to one side of a membrane

net filtration pressure formula
[Pcap - Pif] - [Ocap - Oif]
![<p>[Pcap - Pif] - [Ocap - Oif]</p>](https://knowt-user-attachments.s3.amazonaws.com/da8f22c5-ca17-484d-bd09-fdd426fe4899.png)
what is the net filtration pressure on the arterial side
35mmHg - 26mmHg = 10mmHg

what is the net filtration pressure on the venous side
17mmHg - 26mmHg = -8mmHg

how do you take blood pressure
the first sound is the systolic pressure number when you first hear the Korotkoff sounds, then the number when no sounds are heard is the diastolic pressure

pulse pressure
difference between systolic and diastolic pressure

Mean Arterial Pressure (MAP)
pressure forcing blood into tissues, indicated tissue perfusion

formula for mean arterial pressure
(2 x diastolic) + systolic/ 3

what does pulse pressure indicate
reflecting stroke volume.

cardiac ouput
the volume of blood leaving the heart per min, average is 5Lin a normal resting adult

stroke volume
the volume of blood pumped out by a ventricle with each heartbeat

heart rate
Number of heartbeats per minute.

Cardiac Ouput equation
CO = stroke volume x heart rate
healthy blood pressure
120/80

elevated blood pressure
120-129/less than 80
stage 1 hypertension
130-139/80-89
Stage 2 hypertension
140+/90+
hypertensive crisis
>180 and/or >120
normotension for mean arterial pressure
less 90
elevated MAP
90 - <92

stage 1 hypertension MAP
92-96
Stage 2 hypertension MAP
96+
what is the blood pressure from the aorta to the arterioles
120 > 110 > 40 > 30

Importance of MAP
must be at least 60 to maintain adequate blood flow through coronary arteries, kidneys, and brain
what is the blood pressure in the systemic circulation normally
110

what is the blood pressure in the venous circulation
18-7

Poiseuille's equation
Q = ΔPpir4/8Ln

laminar flow
a smooth pattern of flow

what happens with posture
heart rate increases, SV volume decreases; all due to blood pooling in te legs when we stand.

Homeostasis
Any self-regulating process by which biological systems tend to maintain stability while adjusting to conditions that are optimal for survival.

what is a set point
the physiological value around which the normal range fluctuates

what is dynamic constancy
correction in opposite directions of deviation to move it back to a set point, which is continuously happening in fine adjustments

what is the pathway through which homeostasis is maintained
a change is detected by a receptor, then that input is integrated in the control center through afferent nerves, then an output response is sent to an effector, and then this response opposes the change

how is homeostasis maintained
thorugh negative feedback corrective mechanisms

how are posture changes detected
through central and peripheral baroreceptors

how is blood pressure and mean arterial pressure regulated
if mean arterial pressure goes up, the baroreceptors detect that and send it to the vasomotor centre, which activates the parasympathetic system and causes bradycardia and vasodilation

what is pulse oximetry
measurement of oxygen saturation in the blood and pulse rate

what are the characteristics of hemoglobin
composed of four polypeptide chains
each rbc contains 300 million hemoglobin molecules
can bind 4 oxygen molecules
each RBC can transport 1.2 billion oxygen molecules

normal SPO2 levels
greater than 95%

normal SPO2% for people with COPD
88% to 92%
hypoxic SPO2% levels
85% - 94%
severly hypoxic SPO2%
less than 85% in which supplemental oxygen needs to be administered immediately
high pulse rate for females and males
greater than 83
excellent pulse rate for males 20 - 39
58
excellent pulse rate for females 20 - 39
62 - 64
good pulse rate for females 20 - 39
63 - 66
good pulse rate for males 20 - 39
59 - 63
normal pulse rate for females 20 - 39
76 - 82
normal pulse rate for males 20 - 39
71 - 81