1/11
Name | Mastery | Learn | Test | Matching | Spaced | Call with Kai |
|---|
No analytics yet
Send a link to your students to track their progress
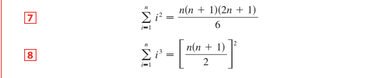
Sum of square and cube formula


Fundamental Thm. of calculus
Proofs

A table of indefinite integrals

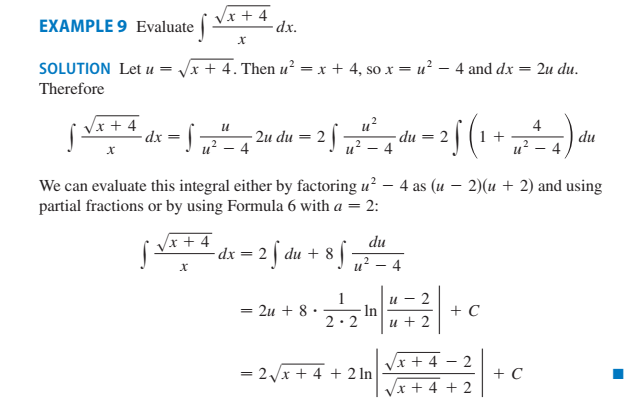
Substitution rule examples


Integration by parts
In action


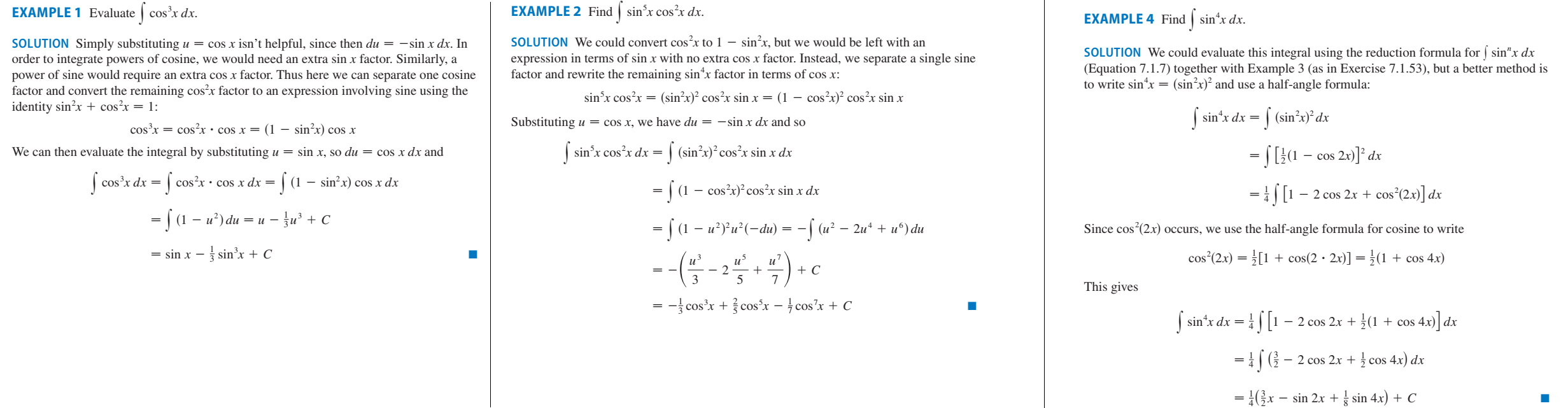
Trigonometric Integrals 1
In action


Trigonometric Integrals 2
In action


Trigonometric substitution
In action


partial fractions
In action




Improper integrals of type 1
Examples


Improper integrals of type 2
Examples
