1/58
Looks like no tags are added yet.
Name | Mastery | Learn | Test | Matching | Spaced | Call with Kai |
|---|
No analytics yet
Send a link to your students to track their progress
memory
the encoding, storage, and retrieval (or forgetting) of information about experience
ā¢Underlying neuropsychologival process allowing info to be restored and retrieved
learning
a process that expresses itself as an adaptive change in behavior in response to experience
memory
ā¢Need to change behaviour in relation to previous experiences, need to store, compare current into past to figure out how we should respond
2 processes for forgetting
ā¢decay-literally forgetting overtime, or-difficulty retrieving info
ā¢Never encoded to begin with (not considered forgetting)
priming
ā¢previous info will impact behaviour, semi-conscious
short-term memory
seconds to minutes, 7-9 items in this span
ā¢Working: hold and manipulate
Temporality holding and working the info somewayl
long term memory
days, weeks, years, no upper limit or capacity of items you can remember
ā¢Procedural/Implicit: āhowā knowledge
Skills, priming, conditioning
ā¢Declarative/Explicit: āwhatā knowledge
Semantic (facts) and episodic (events)
ā¢Rehearsing or practicing is the best to move from short term to long term
reference
associations, acquire through repetitions
spatial memory
locations of items or places in space
Ā used in animal research
non-associative learning
occurs after repeated presentation of one stimulus
ā¢Sensitization vs habituation
sensitization
stim you donāt of respond to but overtime do
habituation
ā¢learning how not to respond to something that isnāt important from previous experience
ā¢Not fatigue or sensory deprivation
ā¢Happening at the level of the sensory receptors and the nerves, so the info isnāt even being sent up
associative/conditioning learning
involved the pairing of at least two stimuli
classical conditioning
Ā pavlov, pairing of several stimuli, unconditioned stim (food) produces a natural response in an individual (salivate when look at food), pair this stim with the conditioned stim (bell), present them together over and over again, conditioned stim goes first, eventually when paired the conditioned will give the same response on its own
operant conditioning
rewards and punishments, positive (addition), negative (taking away)
ā¢Behaviour that is reinforced Ć” frequency
ā¢Behaviour that is punished Ć¢ frequency
both conditioning use
natural punishments, aversive and appetitive
aversive
= punishment style
-Active avoidance= you have to do something to avoid being punished again
-Passive= you donāt have to do anything additionally to avoid, suppressing a certain behaviour, maybe canāt move and if do punished
appetitive
reward, naturally perceived as pleasant
extinction
getting rid of the conditioning, take the conditioned stim and repeatedly expose it so no longer paired, or stop punishing/rewarding behaviour
- Not the same as forgetting
epinephrine and memory
ā¢Epinephrine enhances memory in a dose-dependent and time-dependent fashion
ā¢May be particularly relevant for active avoidance learning (e.g., rodent foot shock)
ā¢Given inability to cross blood brain-barrier, effects are puzzling

SAM axis, immediately following a stress response
Generally enhance memory, this is down in a ushaped curve, memory performance at 1500pg/ml
-Higher levels actually causes you to get worse
Effects are time-dependent, useful for memories depending on when itās released during treating

-The graph is for rodents, found epinephrine is most effective 1min before training
What may the SAM axis and epinephrine be relevant to?
how people avoid neg experience, avoidance learning, normally things remember when stressed out is unpleasant
-Rats can learn how to avoid a stim that is paired with getting shocked on the foot
-The stronger the shock the more effective the avoidance learning
-Increase the avoidability of even smaller shocks
Epinephrine doesnāt cross the BBB, so how does it affect the brain?
1)Epinephrine acting on receptors outside the brain that project to the brain
2)Effect memory by rising glucose levels (this does cross BBB)
Epinephrine: The Peripheral Receptor Hypothesis
ā¢Epinephrine activates peripheral β-noradrenergic receptors on the vagus nerve
ā¢Blocking this pathway prevents memory-enhancing effects of epinephrine!
ā¢Direct injection of epinephrine into the amygdala increases aversive conditioning; epinephrine antagonists blocks this effect
vagus nerve
-10th cranial nerve pair, can project to the brain
BLA
-is important in memory, emotional components of memory, epinephrine is associated with emotionall neg memory, blocking any part of this pathway blocks the effects of epinephrine (in animals)
Drugs that block these peripheral receptors (i.e., propranolol,
a ābeta-blockerā) impairs
ā¢impairs memory for emotionally salient
material, but not neutral material, blocks the epinephrine

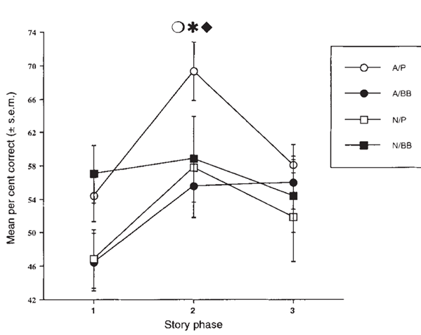
-Story content
-Neutral story, women taking son to school
-Arousing story (a), negative emotional depiction (epinephrine release)
-Placebo or Betablocker
-Propanol affected the memory of the arousing story but not the neutral story
-Memory recall the highest was the for those with the arousing story and the placebo
why epineprhine not safe as treatment for memory impairment?
it has activational problems on the heart
Epinephrine: The Glucose Hypothesis
ā¢More glucose in the brain may make neurons more efficient, maybe ACH (needed for attn)
ā¢Rats with higher glucose saw higher ACH
ā¢Glucose has similar effects as epinephrine on learning
ā¢Animal experiments increasing or blocking glucose have similar effects to epinephrine
ā¢Glucose enhances avoidance learning
ā¢Dose- and time-dependent effects are similar
why glucose hypothesis improtant
ā¢Might explain why memory declines as we age, we are worse regulating blood glucose levels as we age
glucose hypothesis experiment in humans
ā¢College age, younger group did better on mem test than older
ā¢70yrs or older, after lemonade with glucose they did better than the younger group
Recall memory more relevant for glucose, doesnāt help with facial or word recognition, so not the same impact on all types of memory
insulin and memory
ā¢Mixed findings, but some evidence that diabetes is associated with declines in verbal memory
ā¢Impaired glucose regulation, and higher glucose levels have also associated with issues in episodic memory
evidence for insulin and memory
⢠400 people, higher glucose in blood higher episodic memory, only found in women for this study
where are insulin receptors?
in the brain so can cross the BBB, most dense in hippocampus
ā¢Insulin receptors (IRs) in the hippocampus and cortex (green)
ā¢Genetic disruption of brain IRs impairs memory in mice
ā¢Insulin is transported across the BB barrier for more direct effects
insulin treatment
ā¢with stabilized levels of glucose, significantly improve memory in Alzheimerās patients
Suggesting having effects on memory without the impact of glucose levels
long-term potentiation
ā¢an enduring increase in the effectiveness of synapses following repeated, strong stimulation
ā¢Mechanism of learning in the brain
repetition causes increased?
glutamate release from the
presynaptic neuron, which can activate NMDA receptors
(remove Mg plug) on postsynaptic neuron

NMDA requires 2 steps to be activated
ā¢glutamate has to bind, the inside of the neuron has to become sufficiently positive for it to open
ā¢NMDA ā Ca2+ influx ā intracellular signalling cascades
that can:
ā¢inc NMDA receptors inserted in the postsynaptic membrane
ā More sensitive to glutamate, because more receptors have effect
inc glutamate release from presynaptic membrane
ā Causes even more glutamate to be released
insulin and long-term potentiation
ā¢Research using the Morris Water Maze has found that treating diabetic mice with insulin restores impairments in learning the maze when given shortly after diabetes is first developed
what did a follow up study of diabetic rats find?
ā¢A follow up study looking at the hippocampal tissue of these rats found that LTP was impaired in the hippocampus in diabetic rats, but this was restored in those treated with insulin
glucocorticoids are released from?
ā¢HPA axis stress hormones, released a little later
Acute release in glucocorticoids enhances
ā¢memory; extreme or chronic levels impair memory
ā¢Physiological stress may serve as a cue for an experience being important to encode and store in greater detail (e.g., flashbulb memories)

ā¢Humans, dosage of cortisol, showed them pictures to see if later could remember, those in the moderate cortisol did the best
evolutionary benefit of glucocorticoids
benefit of knowing whatās important
ā¢Glucocorticoids may better enhance memory for more negative stimuli
ā¢GRs in the amygdala (BLA) appear crucial for mediating memory-enhancing effects of glucocorticoids
MRs or GR receptors
ā¢GR receptors mediating the enhancement of memory through cortisol, blocking this receptor causes the opp, doesnāt happen with the MR
Abnormally high, or chronic release of glucocorticoids impairs
memory/learning
Particularly a problem for memory retrieval
Hippocampus dense with GR, so if too much cortisol can actually damage the hippocampus
In rodents, chronic corticosteroid treatment
decreases # pyramidal cells, length of dendrites, and dendritic branching density in the hippocampus
But, low corticosterone linked to causing
ā¢degeneration in some parts of hippocampusc
cushings
associated with reduced hippocampal volume causing memory impairments
addisonās
associated with granule cell necrosis in the hippocampus, causing memory impairments
sex differences in memory and learning
ā¢Female rodents have greater dendritic spine density (proestrus phase); males have larger pyramidal cell volumes
ā¢Different spatial learning strategies: female and males learning differently
ā¢Males: place and direction oriented
ā¢Females: self and landmark oriented
estrogens with memory and learning
ā¢Enhance working memory (not reference) both acute and long-term treatment of estrogen and spatial memory in animals
ā¢E2 receptors in the hippocampus
ā¢E2 increases dendritic spine density
androgens and memory and learning
ā¢Organizational effects
ā¢Little to no activational effects
ā¢May enhance positive reinforcement learning
oxytocin and cognition effects
ā¢Context-dependent
ā¢Brain infusions cause the forgetting of active avoidance learning
ā¢Ā Possible adaptive role in childbirth
ā¢Antagonist impairs pup-associated memories
ā¢OT causally linked to social recognition
Ā - especially females
AVP and cognition
Brattleboro rats that lack AVP show major deficits memory retention
AVP treatment restores memory performance
ā¢Involved in social recognition and memory in animals that form bonds
ā¢Some evidence for an AVP benefit in humans for memory performance
Cholecystokinin
ā¢Eating after learning, which triggers CCK release, improves memory retention in animals
ā¢Ā May be mediated by effects on vagus nerve
ā¢Nasal infusions of CCK increased memory performance compared to saline in humans