1/124
Looks like no tags are added yet.
Name | Mastery | Learn | Test | Matching | Spaced | Call with Kai |
|---|
No analytics yet
Send a link to your students to track their progress
average rate of change

instantaneous rate of change

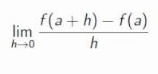
limit definition of a derivative

Mean Value Theorem
if f(x) is continuous on [a, b] and differentiable on (a, b), then x = c exists in that interval so that IROC = AROC at that x-value
![<p>if f(x) is continuous on [a, b] and differentiable on (a, b), then x = c exists in that interval so that IROC = AROC at that x-value</p>](https://assets.knowt.com/user-attachments/0a4d317a-7250-4957-a3ca-d364051d904c.jpg)
average value of a function

Intermediate Value Theorem
if a f(x) is continuous on [a, b], then f(a) and f(b) passes through all y-values between them
Extreme Value Theorem
a function such as f(x) that is continuous on [a, b] has both an absolute min and an absolute max on that interval
found by using critical points + endpoints of f’(x) and then plugging into f(x)
definition of continuity
a function such as f(x)) is continuous at x = c if and only if:
the limit as x approaches c from the left = the limit as x approaches c from the right = f(c)
Squeeze Theorem

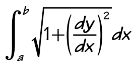
arc length for a function

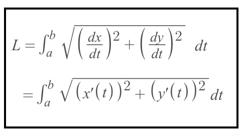
arc length for a parametric equations / vectors

speed formula for parametric

total distance formula for parametric

polar area formula

second derivative for parametric

polar conversions

nth Term Test

Geometric Series Test

p-Series Test

Alternating Series Test
if writing justification, must write:
alternating terms
absolute value of terms decrease to 0

Integral Test
if the integral converges, the series converges
if the integral diverges, the series diverges

Ratio Test

Direct Comparison Test
if big converge, small converge
if small diverge, big diverge

Limit Comparison Test

product rule
Fo[DeSe] + Se[DeFo]
quotient rule
Lo[DeHi] - Hi[DeLo] / (Lo)2
chain rule
d/dx f(u) = f’(u) [u]
d/dx f(g(x)) = f’(g(x)) [g’(x)]
derivative of sin(u)
cos(u) [u’]
derivative of cos(u)
-sin(u) [u’]
derivative of ax
ax * ln(a)
derivative of tan(u)
sec2(u) [u’]
derivative of cot(u)
-csc2(u) [u’]
derivative of sec(u)
sec(u)tan(u) [u’]
derivative of csc(u)
-csc(u)cot(u) [u’]
derivative of eu
eu [u’]
derivative of arcsin(u)

derivative of arccos(u)

derivative of arctan(u)


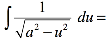
integral of:


integral of:


integral of:


integral of:


integral of:


integral of:

integration by parts
ultraviolet voodoo
u v - ∫ v du


integral of:


integral of:


integral of:


integral of:


integral of:


integral of:


integral of:


integral of:


integral of:

Second Fundamental Theorem of Calculus

Start-Plus Accumulation / Fundamental Theorem of Calculus
where final value is f(b) and initial value is f(a)

Disc Volume Formula

Washer Volume Formula

Logistic Differential Equation

When is logistic differential growth the fastest?
P = ½ * M
Area of a Trapezoid

ex as an elementary series expansion

sin(x) as an elementary series expansion

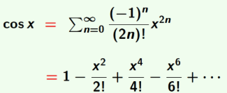
cos(x) as an elementary series expansion

ln(x) as an elementary series expansion

Alternating Series Error Bound
error <= | the next term or first unused term |
Euler’s Method set-up

Taylor Series set-up

MacLaurin Series set-up

LaGrange Error Bound

Candidate Test
use the critical numbers (where f’(x) is 0 and undefined) and the endpoints to check where relative mins / maxs exist
velocity function / vector
the derivative of the position function / vector
the integral of the acceleration function / vector
the rate of change of the position
positive for upward / rightward motion
negative for downward / leftward motion
position function / vector
the integral of the velocity function / vector
gives the location of an object at a given time (t)
acceleration function / vector
the derivative of the velocity function / vector
the rate of change of velocity
total distance traveled for functions
the total distance traveled by the object in the time interval
found using a table of s(t) with t-values consisting of the endpoints and the critical numbers of v(t) = 0
displacement
final position - initial position
s(b) - s(a)
speed of a function
absolute value of velocity
properties of logarithms
ln(a * b) = ln(a) + ln(b)
ln(a / b) = ln(a) - ln(b)
ln(an) = n * ln(a)
change of base definition (Exponential to Logarithmic)
x = ey ←→ y = ln(x)
Procedure for Logarithmic Differentiation
take the natural log (ln) of both sides of the equation
simplify the right hand side of the equation
differentiate both sides
solve for y’
substitute for y if necessary
Procedure for Implicit Differentiation
differentiate both sides with respect to x (use dy/dx for y’)
collect all (dy/dx) onto one side
factor out (dy/dx)
simplify
derivatives of inverse functions
if (a, b) is a point on f(x), then (b, a) is a point on f-1(x)
(f-1)’(b) = 1 / f’(a)
or the inverse derivative at the y-value is the reciprocal of the original derivative at the x-value
if f(x) and g(x) are inverse functions, then: g’(x) = 1 / f’(g(x))
L’Hopital’s Rule
must clarify that it’s being used when f(x) and g(x) assume 0 / 0 form at the limit

point of inflection
a point where the graph has a tangent line and where the graph changes concavity at that point
found as the “critical numbers” or “potential points of inflection” of the second derivative
reading a f’(x) or f’’(x) graph
f(x) is increasing where f’(x) is positive
f(x) is decreasing where f’(x) is negative
f(x) is concave up where f’’(x) is positive
f(x) is concave down where f’’(x) is negative
f(x) has a relative min where the f’(x) graph goes from negative to positive
f(x) has a relative max where the f’(x) graph goes from positive to negative
f(x) has a point of inflection where the f’(x) graph has relative extreme
Second Derivative Test for Relative Extrema
use a f’’(x) number line using f’(x)’s critical numbers
done to find concavity (if negative, then relative max; if positive, then relative min)
only do if specifically asked to
Curve Sketching Recipe
write down domain
reduce f(x)
find vertical asymptotes (domain restrictions of fred(x)) and holes (domain restrictions of f(x) and NOT fred(x))
give x and y-intercepts
find the end behavior / horizontal asymptotes (limit behavior as x approaches infinity)
increasing / decreasing intervals and relative extrema points (showing a f’(x) number line)
find concavity and points of inflection (showing a f’’(x) number line)