1/6
Looks like no tags are added yet.
Name | Mastery | Learn | Test | Matching | Spaced | Call with Kai |
|---|
No analytics yet
Send a link to your students to track their progress
Quadratic formula

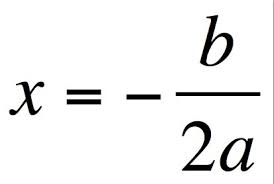
Vertex Formula
(h,k) and -b/2a
Discrimnant for Quadratics
b²-4ac (if roots are > 0 → two real solutions or roots.) (if roots are = 0 → one real root) (if roots are < 0 → Two imaginary roots)
Discriminant for Cubic
If a number is greator than 0 there are 3 distinct roots
If a number is equal to 0 there are real roots with one root repeated
If a number is less than 0 there are two complex conjugate roots and one real root
Distance Formula

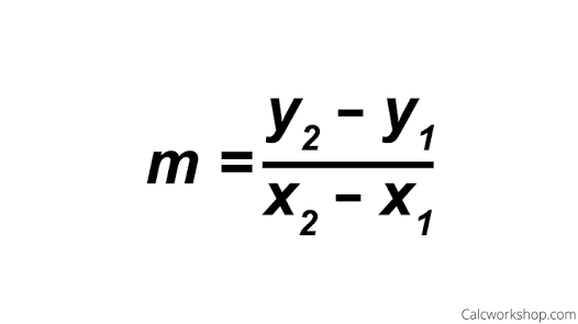
Slope Formula

AOS (axis of symmetry)
