1/22
Looks like no tags are added yet.
Name | Mastery | Learn | Test | Matching | Spaced | Call with Kai |
|---|
No analytics yet
Send a link to your students to track their progress
give example of private/public firms proposing different tariffs?
Example of Belgian Rail (public sector)
The Belgian Rail (SNCB) was historical a SOE, while now it is a public company that operates train services on behalf of the Belgian State
→The operator proposes a tariff of posted prices
→ Different subscriptions (1 month, 3 months or 12 months) = different prices à This is quantity discount
Example of MetroCinema (private sector)
Private firms also post different prices for the same product
Discount for young/elderly
Discount in the morning
→ These different demographics impact the price (morning less expensive)
Example of Airplane tickets
Why is British Airline (BA)’s ticket price higher than FR’s? Why is BA’s ticket price trajectory different than FR’s moving towards departure day?
→ Time differences = observable (3 months before flight less expensive than 2 days before flight)
Quality services differences = explain average price difference:
→ Ryanair customers look for cheap flights specifically and organize it in advance (not a lot of business customers)
→ British Airline customers have often business customers, who will be willing to pay higher prices bc they have to take their flight to be able to attend their meeting
Example of concerts
Annual subscriptions generally cost less in total than one-off purchases
Price season ticket (10 concerts): €1060
Price of a single ticket: €140 (and the remaining events at 120€ or 100€)
→ The theater offers a discount to those who attend all concerts
Define Price discrimination
Firms with market power would increase profit by discriminating their consumers: charging different prices depending on their willingness to pay for the product
What are challenges for price discrimination?
• Identifying consumers is not always easy, so often firms rely on broad categories (age group,
geography etc.)
• Separating consumers is also a problem: arbitrage opportunities
→ Event tickets (sport, concerts etc.) are sold at a single price (for a given seat position): Fans often have very different willingness to pay
→ Arbitrage = bought it cheap, resell it high
GIve 3 types of price discrimination strategies
Three types of price discrimination:
• First-degree or personalised pricing (perfect discrimination)
→ Focus on consumer’s willingness to pay
• Second-degree or menu pricing
→ Consumers choose which pricing scheme or package they want to purchase based on their preferences and budget. Firm can’t distinguish types.
• Third-degree or group pricing
→ firm charges different prices to different groups of consumers based on observable characteristics, like age, location, or membership status.
why is 1st degree price discrimination ideal?
Definition: Firm charges each consumer in its market a different price for each
unit they consume. This price is based on what the consumer is
willing to pay.
→ Monopolists can identify and charge how much each consumer is
willing to pay = Personalized Prices
Why ideal?
Ideal because the firm extracts all consumer surplus. The profit captured by the operator is equal to the total surplus of trade
→ Perfectly discriminating monopolist produces more than a “regular” monopolist.

Differences btw non-discriminated monopolistic market & perfectly (first-degree) discriminated market
It shows that a perfectly discriminating monopolist (right side) produces the same quantity (Qc) as under perfect competition
→ it manages to price each unit of output at the maximum a consumer is willing to pay until it reaches the competitive price (pc), paid only by the marginal consumer.
Main differences are the level of surplus & its distribution.
• Without price discrimination, there is a deadweight loss (DWL)
→ producer and consumer share the residual surplus
• With first-degree price discrimination, the DWL disappears, and surplus is totally captured by the monopoly
→ allows this type of monopolist to make much higher profits than regular one and supply competitive quantity which is efficient
Should a regulator pursue some form of 1st degree PD?
• It can be a way to make those with higher WTP (usually higher income), contribute more to financing the service
• It can eliminate the need for (distorting) subsidies
• Still, information requirements pose a problem
→ Costly to gather (maybe reducing with new technologies)
→ Privacy concerns
Still, some pricing techniques can get closer to this benchmark than just uniform pricing
Define 3rd degree PD
Key idea: firm is able to separate groups of consumers
• Consumers differ by some observable characteristic(s)
• A uniform price is charged to all consumers in a particular group linear price
• So, different uniform prices are charged to different groups
The pricing rules (charge more those who are willing to pay more) are very simple:
• Consumers with low elasticity of demand should be charged a high price
• Consumers with high elasticity of demand should be charged a low price
what are criteria/examples used to categorise different groups in 3rd degree PD?
• Market segmentation based on demographics:
Kids are free, discount to elderly, discount based on income or proxies for income (e.g., rank)
• Market segmentation based on timing of purchase:
Early-bird specials; first-runs of movies
• Market segmentation based on location:
Geo-pricing
Steps to find No Price discrimination(linear pricing) equilibrium price
Optimal price?
• Calculate aggregate demand in the 2 markets
• Identify marginal revenue for that aggregate demand
• Equalize marginal revenue with marginal cost to identify the profit maximizing quantity
• Identify the market clearing price from the aggregate demand
• Calculate demands in the individual markets from the individual market demand curves and the
equilibrium price
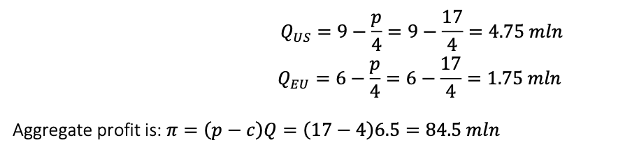
comparison No PD vs 3rd degree PD EXAMPLES PT.1




comparison No PD vs 3rd degree PD EXAMPLES PT.2
The firm can improve this outcome. Notice that MR is not equal to MC in both markets
𝑀𝑅US = 36 − 8 × 4.75 = −2 < MC in the US
𝑀𝑅EU = 24 − 8 × 1.75 = 17 > MC in the EU
• MR > MC in Europe (sell not enough → underselling → lower price)
• MR < MC in the US (sell too much → overselling → raise price)


conclusion: if market demand linear, Price discrimination results in the same aggregate output as no price discrimination & increases profit!
steps to compute 3rd degree PD
Procedure:
• Take each market separately
• Identify optimal quantity in each market by equating MR = MC
• Identify the price in each market from market demand
does 3rd degree PD reduce Welfare?
First, economic efficiency, not the same as being fair, but let’s think about this later. Start by impact on total surplus.
Suppose that there are two markets: weak (low willingness to pay, left side) & strong (high willingness to pay, right side)


what about welfare in newer markets?

It has welfare implications:
• Neutral perspective: look at surplus generated (output)
• Fairness (consumers and not only consumers also care about it!)
define 2-part pricing (2-part pricing)
A two-part tariff is a pricing strategy where the firm charges:
A fixed fee (entry fee or subscription)
per-unit price for each unit consumed (e.g., price per drink)
How to compute 2 part tariff pricing under info asym?


Why doesn’t 2-part tariff work under information asymmetry?
Low valuation types get:
• Zero surplus from the package designed for them
• Negative surplus from the package designed for the high type
→ So, the low type takes the correct package
High valuation types get:
• No consumer surplus from the package designed for them
• Some surplus from the package designed for the low type
→So high valuation type will pretend to be low valuation even if this limits the number of drinks they can buy
The seller has to compromise bc 2-Part tariff ineffective! Design a pricing scheme that makes buyers to reveal their true types, by self-selecting the quantity/price package designed for them
How to compute 2nd degree PD?

can the monopolist do even better?
In the previous case: yes
• Reducing the quantity in the low-valuation package
→ this reduces the minimum surplus in the incentive-compatibility constraint
→more profits can be done by exploiting the high-valuation package
In general, the optimal menu depends on the shares of the two groups and there are cases where it is more profitable to serve only the high-demand group (problems if it’s a public service? see later)
what about welfare in the context of 2nd degree pricing?
• A necessary condition for second-degree price discrimination to increase social welfare is that it
increases total output
• Similar to third-degree price discrimination
• But second-degree price discrimination is more likely to increase output
Link btw block pricing and 2nd degree PD?
Regulator may want to charge different prices for different levels of demand to stimulate more consumption (e.g., public transport) or discourage consumption above a certain level (e.g., water use)
→ it is usually implemented by block pricing
Block pricing follows a similar logic to the discussion on quantity discounts and menus of contracts before
→ Blocks have to be designed properly to be incentive compatible
→Regulators may also worry about affordability for some groups of population, i.e., first block(s) if increasing price
should regulators be concerned with PD pr should they support it?
PRO:
• On the one hand, PD can benefit as it allows to price differently depending on the willingness & the ability to pay
• It can be output increasing and thus it can be welfare increasing
CON:
• However, firms can become very creative in designing tariffs and good in extracting surplus from users
• Extra-surplus can be used to finance CAPEX and reduce subsidies, but this implies cross-subsidization between users (=extra surplus from the strong market to cover the costs of serving the weak market)
• Such creativity might be hard to assess in light of the regulated price discussed in Lecture 3