1/23
Formulas
Name | Mastery | Learn | Test | Matching | Spaced | Call with Kai |
|---|
No analytics yet
Send a link to your students to track their progress
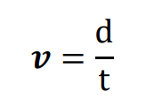
Uniform Motion

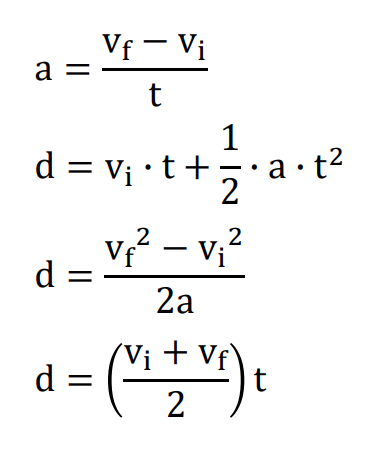
Uniformly Accelerated Motion

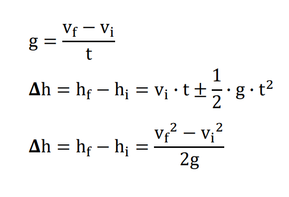
Free falling Body

Uniform Angular Motion

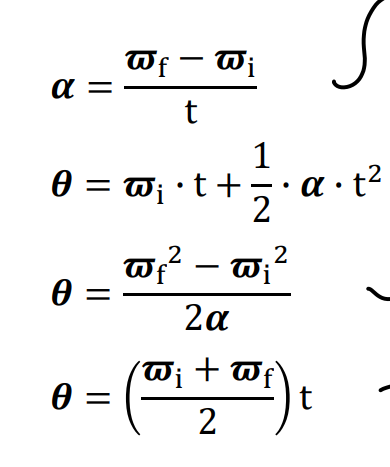
Uniformly Accelerated Angular Motion

Projectile Motion: Uniform Horizontal Motion

Free falling Vertical motion

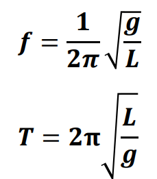
Wave: Vibratory (Pendulum)

Simple Harmonic Motion

Air Column

Speed of Sound: Solid Materials

Speed of sound in liquids

Speed of Sound in Gas

Doppler Effect

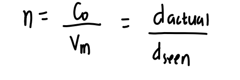
Speed of Light
Vm = speed of light, n = index of refraction, Co = const 28

Snell’s Law
For refraction only

Total Internal Reflection

index of refraction of air
n = 1
index of refraction of water
n = 1.33
Actual distance from surface

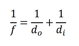
Mirror Equation (mirror) / Thin-Lens Equation (Lens)

Magnefication (both mirror and lens)

Radius of curvature (both for mirror and lens)

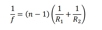
Lens-maker Formula
