1/22
Looks like no tags are added yet.
Name | Mastery | Learn | Test | Matching | Spaced | Call with Kai |
|---|
No analytics yet
Send a link to your students to track their progress

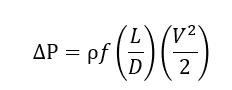
What is this equation for and what are the variables?
the expected head loss (pressure drop) of a horizontal straight pipe section. (Major head loss)

Minor losses are due to what?
piping system elements such as elbows, tees, reducers, flow meters, process equipment (e.g., heat exchangers), etc.
What is Le/D in this equation?
the equivalent L/D of a straight section of pipe that would cause the same head loss as the piping element being considered

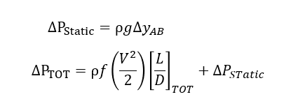
What is the following equation for?
For a section of pipe that also has a difference in elevation between points A and B we need to account for this by simply adding in the static head of the water column in the pipe. This would be the difference in pressure between points A & B when there is zero fluid flow.


What is this equation for and what are the variables?
Pressure drop of various equipment such as valves, strainers, check valves, etc. Q is flowrate, Cv is the flow coefficient.
What does flow coefficient represent?
Cv represents the flow rate of water through a device at specified standard conditions
What are the steps to calculate the head loss of a piping system?
1.Determine the total L/D for all straight pipe sections (major losses)
2.Determine the total Le/D for all fittings (minor losses)
3.Determine the static head
4.Determine head loss due to other items by other means
5.Sum up all of the contributions to obtain the total head loss
What are the axes of a “System Resistance Curve”
flow rate vs total head loss

What are the two types of pumps?
positive displacement and centrifugal
Positive displacement pump
Pumps whose flow rate is largely independent of system pressure.
Move a fixed amount of fluid at regular intervals.
Centrifugal Pump
Pumps whose flow rate is largely a function of system pressure.
Utilize a rotating impeller to drive fluid flow.
the flow rate through the pump will vary depending upon the downstream system pressure the pump must overcome.
Fluid enters near the center of the rotating impeller where it is “flung” outward via centrifugal forces and the directed toward an outlet by the surrounding pump housing (a.k.a. the casing).
“dead-heading” a pump
If the system pressure is too high in a centrigual pump, flow will stop.
What are the types of positive displacement pumps?
reciprocating or rotary
What type of pump is a piston pump?
A reciprocating positive displacement pump
What type of pump is a rotary vane pump?
A rotary positive displacement pump
From low to high efficiency name the types of impellers
open, semi-open, closed
open impeller
Structurally weaker.
Good for viscous fluids with entrained solids

Semi-Open Impeller
Good compromise between open & closed

Closed impeller
Good for “clean” low viscosity fluids & higher pressure applications

What are the main components of a centrifugal pump?
motor, coupling, support bearing, shaft seal, driving shaft, casing, fluid outlet, impeller, suction inlet

Cavitation
The formation of vapor bubbles of a flowing liquid in a region where the pressure of the liquid falls below its vapor pressure.
How do we determine the flowrate the we can expect in the system?
Overlay the pump curve on the system curve

How can you change the flow rate through the system
by changing the shape of the pump curve OR the system curve. This can be done by throttling a control valve, varying the pump speed or changing the impeller size.
