1/69
Looks like no tags are added yet.
Name | Mastery | Learn | Test | Matching | Spaced | Call with Kai |
|---|
No analytics yet
Send a link to your students to track their progress

Nicotine (Solanaceae); Piperidine

Atropine (Solanaceae); Tropane

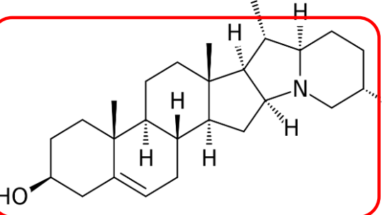
Solanidine (Solanaceae); Steroid

Coniine (Apiaceae); Piperidine

Quinine (Rubiaceae); Quinoline, Quinuclidine

Sparteine (Fabaceae); Quinolizidine

Caffeine (Rubiaceae); Purine

Senkirkine (Asteraceae); Pyrrolizidine

Pilocarpine (Rutaceae); IMidazole

Morphine (Papaveraceae); Isoquinoline

VIncristine (Apocynaceae); Indole, Indolizidine

Aloe-emodin

Emodin

Chrysophanol

Rhein

Aloin A

Hypericin

Sennoside A

Diosgenin

Dioscin

Phaseoloidesides

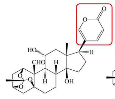
Bryophyllin A (bufadienolides)

Bryophyllin C (bufadienolides)

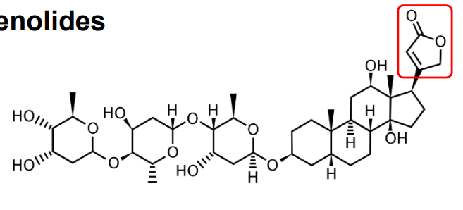
Digoxin (cardenolides)

Digitoxin (cardenolides)

Sinalbin

Sinigrin

Prunasin

Amygdalin

Salicin

Alpha arbutin

Vanillin

Phenylpropenes

Lignans

Coumarins

Flavonoids

Ellagitannins

Gallotannins

Pedunculagin

PunicalginD

Kurigalin

Pentagalloyl glucose

Cinnamtannin B1

Polymeric proanthocyanidins

Naringenin (flavone)

Catechin (flavanol)

Ternatin C5

Malvin

Podophyllotoxin

Eugenol

Isoeugenol

Linallyl acetate

Limonene

Curcumene

Artemisinin

Paclitaxel

Entagenic acid

Campesterol

beta-carotene; alpha-carotene

Zexanthin

gamma-carotene, delta-carotene

VItamin A

Vitamin E

Vitamin D

Vitamin K

Gramicidin S

Bacitracin

Daptomycin

Cyclosporine

Vancomycin