1/13
Looks like no tags are added yet.
Name | Mastery | Learn | Test | Matching | Spaced | Call with Kai |
|---|
No analytics yet
Send a link to your students to track their progress

hydroxyl
polar

methyl
nonpolar

carbonyl
polar

carboxyl
acidic, they release H+ ions
charged

amino
basic, accepts H+ to form NH3+
charged

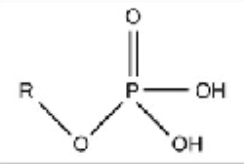
phosphate
acidic, releases H+

sulfhydryl
polar

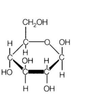
carb
usually rings or linear
a lot of OH

nucleic acid (RNA)
theres a phosphate group, a base, and a sugar
the sugar for RNA has two OH on the sugar

nucleic acids (DNA)
theres a phosphate group, a base, and a sugar
the sugar for DNA has one OH on the sugar

amino acids
NH₂ (amine group)
COOH (carboxyl group)
R group (varies)

fatty acid
Long hydrocarbon chains (zig-zag lines)
Very few oxygen atoms

phospholipids
Polar Phosphate Head (Hydrophillic)
Nonpolar Fatty Acid Tail (Hydrophobic)