math 101 things to memorize

0.0(0)
Studied by 0 people
call kaiCall Kai
learnLearn
examPractice Test
spaced repetitionSpaced Repetition
heart puzzleMatch
flashcardsFlashcards
GameKnowt Play
Card Sorting

1/3

encourage image

There's no tags or description

Looks like no tags are added yet.

Last updated 8:42 PM on 4/10/26
Name
Mastery
Learn
Test
Matching
Spaced
Call with Kai

No analytics yet

Send a link to your students to track their progress

4 Terms

1
New cards

all pythagorean trig identities

knowt flashcard image
2
New cards

double angle trig formulas

knowt flashcard image
3
New cards

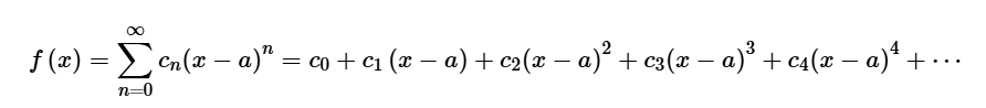
taylor series

knowt flashcard image
4
New cards

riemann sum

knowt flashcard image