1/15
Looks like no tags are added yet.
Name | Mastery | Learn | Test | Matching | Spaced | Call with Kai |
|---|
No analytics yet
Send a link to your students to track their progress
linoleic acid

delta nomenclature of linoleic acid
18:2(9,12)
omega notation of linoleic acid
18:2(n-3)
alpha- linolenic acid

delta nomenclature of alpha linolenic acid
18:3(9,12,15)
omega nomenlature of alpha linolenic acid
18:3 (3,6,9)
cholesterol

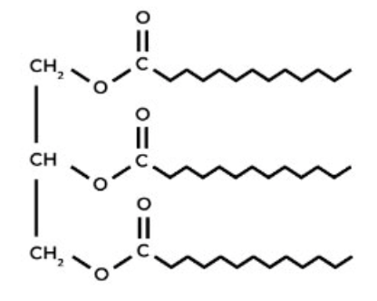
what makes us a trigylceride
made of three long chains of carbon atoms attatched to glycerol backbone.
what is a glycerol backbone for triglycerides
C3H8O3
triglyceride

what makes a phospholipid
- glyserol backbone
- two fatty acid tails
- phosphate group linked to a hydrophilic head
phospholipid

what makes up a sphingolipid
- sphingoid base
- N-acyl group
- O-linked head group
sphingolipid

what makes up a glycolipid
- hydrophobic lipid portion
- hydrophilic carbohydrate portion
glycolipid
