1/33
Looks like no tags are added yet.
Name | Mastery | Learn | Test | Matching | Spaced | Call with Kai |
|---|
No analytics yet
Send a link to your students to track their progress
A first-order system is one whose output (___) is modeled by a first-order differential equation
y(t)
What is f(t) in first order systems?
Input (forcing function)
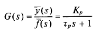
What is 𝜏p? Formula and Name
𝜏p - time constant
𝜏p = a1/a0
What is Kp? Formula and Name
Kp - Steady state gain, static gain, gain of the process
Kp = b/a0
What are the initial conditions for input and output for steady state?
y(0) = 0
f(0) = 0
G(s) is the
Transfer function
What is the general formula for the transfer function?

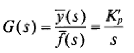
What is the transfer function for steady state conditions?

First order processes with steady state initial conditions are also called
First order lag
Linear lag
Exponential transfer lag
If ao = 0, what is the transfer function

What are the processes called if ao = 0?
Purely capacitive or pure integrator
First-order processes are characterized by:
Their capacity to store material, energy, or momentum
The resistance associated with the flow of mass, energy, or momentum in reaching the capacity
Typical first order systems based on how they are characterized:
Tanks that store liquids and gases
Resistance - pumps, valves, weirs, pipes
SLG systems that can store thermal energy
Resistance - heat transfer
most common class of dynamic components in a chemical plant, with the capacity to store primarily mass and energy
First-order lags
What is the input at s for a pure capacitive process?
1/s
What happens to the output for a pure capacitive process?
As time approaches infinity, y(t) also approaches infinity
A __________________ will cause serious control problems, because it cannot balance itself.
pure capacitive process
A _______________________ is a system that cannot reach a new steady state on its own after a disturbance.
non-self-regulating system
We can adjust manually the speed of the constant-displacement pump, so as to balance the flow coming in and thus keep the level constant. But any small change in the flow rate of the inlet stream will make the tank flood or run dry (empty). This attribute is known as
non-self-regulation
A first-order lag process is ________________
self-regulating
Unlike a purely capacitive process, it reaches a new steady state.
First-order lag process
The smaller the value of the time constant τp, what is the effect on the system response?
The smaller the value of the time constant τp, the steeper/faster the initial response of the system.
The ____________ of a process is a measure of the time necessary for the process to adjust to a change in its input
time constant τp
The value of the response y(t) reaches _____ of its final value when the time elapsed is equal to one time constant, τp
63.2%
Value of the response y(t) when time elapsed different multiples of the time constant
1τp = 63.2%
2τp = 86.5
3τp = 95
4τp = 98
Thus, after ____ time constants, the response has essentially reached its ultimate value.
four
The ultimate value of the response (i.e., its value at the new steady state) is equal to ____ for a unit step change in the input,
Kp
The ultimate value of the response (i.e., its value at the new steady state) is equal to Kp for a unit step change in the input, or ____ for step size of A
AKp
Relationship of static gain to the input and output
Δ(output) = KpΔ(input)
A small change in the input if
Kp is large (for sensitve systems)
A large change in the input if
Kp is small
The larger the static gain of a process, the ______ the steady-state value of its output for the same input change
larger
Possible solutions on finding the dynamic response of first order systems with variable time constraints and static gains:
Analytical solutions with variable coefficients
Assume time constant and static gain are constant for a limited period of time
e can assume that such systems possess constant time constants and static gains for a certain limited period of time only. At the end of such a period we will change the values of t, and K, and consider that we have a _______________
new first-order system