1/34
Looks like no tags are added yet.
Name | Mastery | Learn | Test | Matching | Spaced | Call with Kai |
|---|
No analytics yet
Send a link to your students to track their progress
True or False: The citric acid cycle is an example of an amphibolic pathway.
True
True or False: In eukaryotes the enzymes of the citric acid cycle are found in the cytosol.
False
True or False: The citric acid cycle is an anaerobic pathway.
False
True or False: The only reaction in the citric acid cycle that produces a carbon-carbon bond is catalyzed by citrate synthase.
True
True or False: The activated form of eukaryotic pyruvate dehydrogenase complex is the phosphorylated form.
False
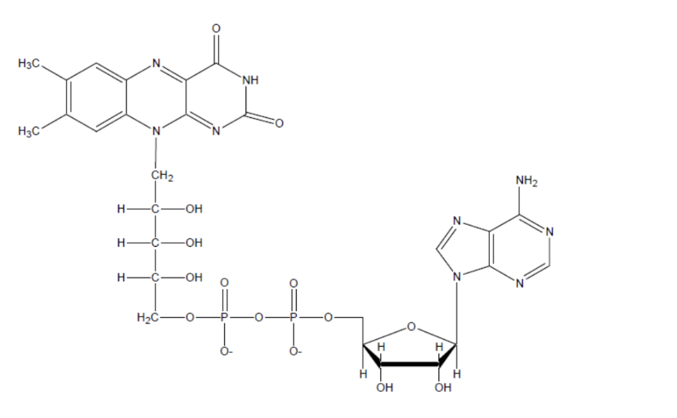
The molecule shown above is a cofactor of:
a) Citrate Synthase
b) Succinate Dehydrogenase
c) Pyruvate carboxylase
d) Alpha-ketoglutarate dehydrogenase
e) Succinyl-CoA synthetase
d) Alpha-ketoglutarate dehydrogenase
Which one of the following enzymes of the citric acid cycle catalyzes an irreversible step?
a) Succinyl-CoA Synthetase
b) Fumarase
c) Malate dehydrogenase
d) Isocitrate dehydrogenase
e) Succinate dehydrogenase
d) Isocitrate dehydrogenase
Which of the following conditions decreases the rate of oxidation of acetyl-CoA by the citric acid cycle?
a) A low ATP/ADP ratio
b) A high NAD+/NADH ratio
c) A low NAD+/NADH ratio
d) A low GTP/GDP ratio
e) An increase in Ca2+ concentration.
c) A low NAD+/NADH ratio
Which enzyme is unique to the glyoxylate cycle?
a) Isocitrate lyase
b) Malic enzyme
c) Malate dehydrogenase
d) PEP carboxylase
e) Pyruvate carboxylase
a) Isocitrate lyase
The only reaction of the citric acid cycle that provides substrate level phosphorylation is catalyzed by:
a) Succinate dehydrogenase
b) Isocitrate dehydrogenase
c) Pyruvate dehydrogenase
d) Malate dehydrogenase
e) Succinyl-CoA synthetase
e) Succinyl-CoA synthetase
Which of the following is not a property of the E1 enzyme of the pyruvate dehydrogenase complex?
a) Uses thiamine pyrophosphate as a catalytic coenzyme.
b) Oxidatively decarboxylates pyruvate.
c) Forms a hydroxyethyl-TPP intermediate.
d) Binds NAD+ at its active site
e) Transfers an acetyl group to lipoamide of E2
d) Binds NAD+ at its active site
Which enzyme is unique to the glyoxylate cycle?
a) Pyruvate carboxylase
b) Malate dehydrogenase
c) PEP carboxylase
d) Malate Synthase
e) Malic enzyme
d) Malate Synthase
Which one of the following enzymes of the citric acid cycle catalyzes an irreversible step?
a) Fumarase
b) Citrate Synthase
c) Malate dehydrogenase
d) Succinate dehydrogenase
e) Succinyl-CoA Synthetase
b) Citrate Synthase
The molecule shown above is a cofactor of:
a) Pyruvate carboxylase
b) Alpha-ketoglutarate dehydrogenase
c) Citrate Synthase
d) Succinate Dehydrogenase
e) Succinyl-CoA synthetase
b) Alpha-ketoglutarate dehydrogenase
Which of the following enzyme mechanisms involves a phosphorylated histidine intermediate?
a) Succinyl-CoA synthetase
b) Succinate dehydrogenase
c) Citrate synthase
d) Isocitrate dehydrogenase
e) Pyruvate dehydrogenase
a) Succinyl-CoA synthetase
Which one of the following enzymes of the citric acid cycle catalyzes an irreversible step?
a) Succinate dehydrogenase
b) Isocitrate dehydrogenase
c) Fumarase
d) Succinyl-CoA Synthetase
e) Malate dehydrogenase
b) Isocitrate dehydrogenase
Order the coenzymes according to their involvement in the pyruvate dehydrogenase complex:
1. NAD+
2. CoA-SH
3. TPP
4. Lipoamide
5. FAD
a) 3, 4, 2, 5, 1
b) 3, 5, 4, 2, 1
c) 3, 2, 1, 5 ,4
d) 1, 2, 3, 4, 5
e) 2, 4, 5, 1 ,3
a) 3, 4, 2, 5, 1
In mammalian tissues, isocitrate dehydrogenase is allosterically stimulated by:
a) A decrease in Ca2+ concentration
b) A low acetyl CoA/CoA ratio
c) A low NAD+/NADH ratio
d) A high ATP/ADP ratio
e) A high NAD+/NADH ratio
e) A high NAD+/NADH ratio
Which of the following enzyme activities would not be decreased by a thiamine deficiency?
a) All of these enzyme activities would be decreased.
b) Pyruvate carboxylase.
c) Pyruvate dehydrogenase.
d) Transketolase.
e) Alpha-ketoglutarate dehydrogenase.
b) Pyruvate carboxylase.
Which enzyme is unique to the glyoxylate cycle?
a) Citrate-ATP lyase
b) Malate dehydrogenase
c) Malic enzyme
d) Isocitrate lyase
e) Pyruvate carboxylase
d) Isocitrate lyase
Fluoroacetate inhibits the citric acid cycle. Fluoroacetate is metabolized into a product that inhibits:
a) Citrate Synthase
b) Pyruvate dehydrogenase
c) Acetyl-CoA synthetase
d) Aconitase
e) Succinate dehydrogenase
d) Aconitase
Which of the following enzymes catalyzes an oxidative decarboxylation reaction?
a) Isocitrate dehydrogenase
b) Succinate dehydrogenase
c) Citrate synthase
d) Malate dehydrogenase
e) Succinyl-CoA synthetase
a) Isocitrate dehydrogenase
Which one of the following enzymes of the citric acid cycle catalyzes an irreversible step?
a) Fumarase
b) Aconitase
c) Succinate dehydrogenase
d) Succinyl-CoA Synthetase
e) Citrate Synthase
e) Citrate Synthase
Which of the following enzymes catalyzes an anaplerotic reaction?
a) Isocitrate lyase
b) Malate synthase
c) Citrate synthase
d) Pyruvate Carboxylase
e) Pyruvate dehydrogenase
d) Pyruvate Carboxylase
In mammalian tissues, the citric acid cycle is activated by
a) A high NAD+/NADH ratio
b) A low NAD+/NADH ratio
c) A decrease in Ca2+ concentration
d) A low acetyl CoA/CoA ratio
e) A high ATP/ADP ratio
a) A high NAD+/NADH ratio
The Conversion of citrate into isocitrate by aconitase involves:
a) A dehydration followed by hydration.
b) A phosphorylated histidine intermediate.
c) An oxidation followed by reduction.
d) A hydration followed by dehydration.
e) An oxidation.
a) A dehydration followed by hydration.

The molecule shown is a(n):
a) Acetyl-CoA
b) Lipoamide
c) Biotin
d) Coenzyme A
e) Flavin mononucleotide
b) Lipoamide

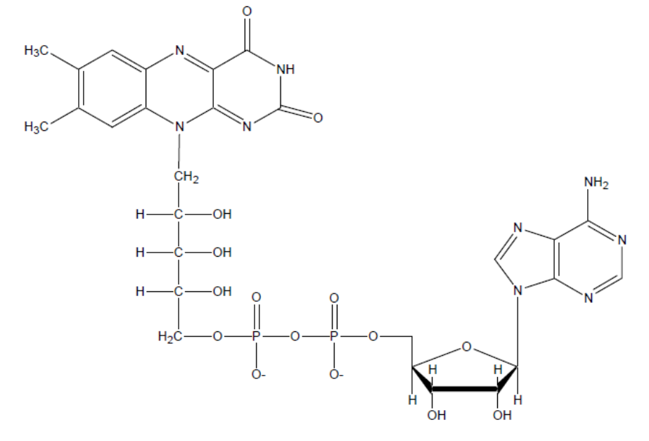
The molecule shown above is a cofactor of:
a) Alpha-ketoglutarate dehydrogenase
b) Pyruvate carboxylase
c) Succinate Dehydrogenase
d) Succinyl-CoA synthetase
e) Citrate Synthase
a) Alpha-ketoglutarate dehydrogenase

The molecule shown is:
a) FAD
b) Biotin
c) Coenzyme A
d) Lipoamide
e) Flavin mononucleotide
a) FAD

The molecule shown above is a cofactor of:
a) Succinyl-CoA synthetase
b) Pyruvate carboxylase
c) Succinate Dehydrogenase
d) Isocitrate dehydrogenase
e) Citrate Synthase
c) Succinate Dehydrogenase

Acetyl-CoA labeled with 14C as shown below is allowed to enter the citric acid cycle. Assuming that all of the acetyl-CoA enters the cycle, what fraction of the label will be present in oxaloacetate at the end of one turn of the cycle?
a) 25%
b) 75%
c) 50%
d) 0%
e) 100%
e) 100%

Which carbons in the oxaloacetate formed by one turn of the cycle would contain the radiolabel?
a) C1
b) C2 and C3
c) C2
d) No radiolabel present
e) C1 and C4
b) C2 and C3
What fraction of the original radiolabel present in the acetyl-CoA will be present in oxaloacetate at the end of two turns of the citric acid cycle?
a) 0%
b) 100%
c) 25%
d) 12.5%
e) 50%
b) 100%
Choose the correct order the following intermediates according to their formation in the pyruvate dehydrogenase complex:
1. Hydroxyethyl-TPP
2. Acetyl-lipoamide
3. Acetyl CoA
4. FADH2
5. NADH
a) 1, 2, 3, 4, 5
b) 3, 2, 5, 4, 1
c) 2, 1, 5, 4, 3
d) 1, 5, 4, 3, 2
e) 4, 1, 5, 3, 2
e) 4, 1, 5, 3, 2
Arrange the following enzymes in the order that they function in the citric acid cycle.
1. Aconitase
2. Alpha-ketoglutarate dehydrogenase
3. Succinyl CoA synthetase
4. Succinate dehydrogenase
5. Fumarase
a) 3, 4, 1, 5, 2
b) 5, 3, 1, 4, 2
c) 3, 4, 5, 2, 1
d) 5, 4, 3, 2, 1
e) 1, 2, 3, 4, 5
a) 3, 4, 1, 5, 2