1/45
Looks like no tags are added yet.
Name | Mastery | Learn | Test | Matching | Spaced | Call with Kai |
|---|
No analytics yet
Send a link to your students to track their progress
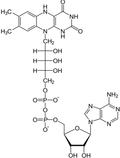
FAD

FADH2


Reactant for Step 0 (Pyruvate)

Product for Step 0, Reactant for Step 1 [Acetyl-CoA (+ CO2)]
Pyruvate dehydrogenase complex (oxidoreductase)
What is the enzyme and class for Step 0?
Oxidative decarboxylation
What reaction is taking place in Step 0?
NAD+/NADH
What redox coenzymes are present in Step 0?
Steps 1, 3, and 4 (+ Step 0)
What steps of the Citric Acid cycle are irreversible?

Reactants for Step 1 (Acetyl-CoA and Oxaloacetate)

Product for Step 1, Reactant for Step 2 (Citrate)
Lyase
What is the class of the enzyme for Step 1 (citrate synthase)?
Claisen Condensation (aldol reaction with thioester)
What reaction is taking place in Step 1?

Intermediate for Step 2 (cis-Aconitate)

Product for Step 2, Reactant for Step 3 (Isocitrate)
Lyase
What is the class of the enzyme for Step 2 (aconitase)?
Dehydration-hydration
What reaction is taking place in Step 2?

Product for Step 3, Reactant for Step 4 [α-Ketoglutarate (+ CO2)]
oxidoreductase
What is the class of the enzyme for Step 3 (isocitrate dehydrogenase)?
Oxidative decarboxylation
What reaction is taking place in Step 3?
NAD+/NADH
What redox coenzymes are present in Step 3?

Product for Step 4, Reactant for Step 5 [Succinyl-CoA (+ CO2)]
Oxidoreductase
What is the class of the enzyme for Step 4 (α-Ketoglutarate dehydrogenase complex)?
Oxidative decarboxylation
What reaction is taking place in Step 4?
NAD+/NADH
What redox coenzymes are present in Step 4?

Product for Step 5, Reactant for Step 6 (Succinate)
Ligase
What is the class of the enzyme for Step 5 (succinyl-CoA synthetase)?
Substrate level phosphorylation
What reaction is taking place in Step 5?
ADP/ATP
What coenzymes are present in Step 5?

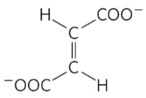
Product for Step 6, Reactant for Step 7 (Fumarate)
Oxidoreductase
What is the class of the enzyme for Step 6 (succinate dehydrogenase)?
Dehydrogenation
What reaction is taking place in Step 6?
FAD/FADH2
What redox coenzymes are present in Step 6?

Product for Step 7, Reactant for Step 8 (L-Malate)
Lyase
What is the class of the enzyme for Step 7 (fumarase)?
Hydration
What reaction is taking place in Step 7?

Product for Step 8, Reactant for Step 1 (Oxaloacetate)
Oxidoreductase
What is the class of the enzyme for Step 8 (malate dehydrogenase)?
Dehydrogenation
What reaction is taking place in Step 8?
NAD+/NADH
What redox coenzymes are present in Step 8?
Steps 0 and 4
What steps of the Citric Acid cycle have complexes as enzymes?
Steps 3, 4, and 8
What steps of the Citric Acid cycle release NADH?
Steps 3 and 4 (+ Step 0)
What steps of the Citric Acid cycle release CO2?
Step 6
What step of the Citric Acid cycle releases FADH2?
Step 5
What step of the Citric Acid cycle releases ATP?
Net reaction for Citric Acid Cycle

Net reaction for Citric Acid Cycle and Glycolysis
