1/12
Looks like no tags are added yet.
Name | Mastery | Learn | Test | Matching | Spaced | Call with Kai |
|---|
No analytics yet
Send a link to your students to track their progress

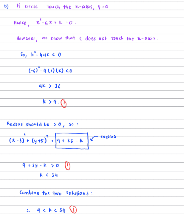
2024 AS Q10 CIRCLES


2024 AS Q11 exponentials and logarithms part b
lowkey just recognising what q2 is asking, should understand its 4.8 not -4.8


2024 AS Q13 part c trigonometric equations and identities
icl brochaco


2023 AS Q2
read more carefully bro you can’t have a sqrt neg number


AS 2023 Q3
silly mistakes with what angle ACB was 33 not 39


AS 2023 Q4
deduction in part b


AS 2023 Q6 part b
we just need more work on circles icl


AS 2023 Q9
silly mistake, make sure u input the values you get to see if they’re valid, 1/9 is not valid


AS 2023 Q12 part c
icl lowkenuinely u js shi at some trig Qs


AS 2023 Q16
just try again ur almost there son


AS 2022 Q11 part b
CIRCLES needs work


AS 2022 Q13 part a more specifically
