1/24
Looks like no tags are added yet.
Name | Mastery | Learn | Test | Matching | Spaced | Call with Kai |
|---|
No analytics yet
Send a link to your students to track their progress

Direct Nucleophilic Attack


Nucleophilic Acyl Substitution

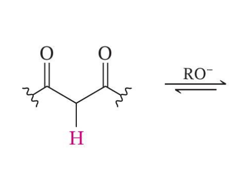
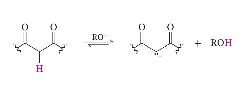
α-Hydrogens Are Acidic

Enolate Ions Are Resonance Stabilized

Conjugate Base of Both Forms


Tautomer Ratios in Solution


Conjugation Favors the Enol

Base-Catalyzed Enolization

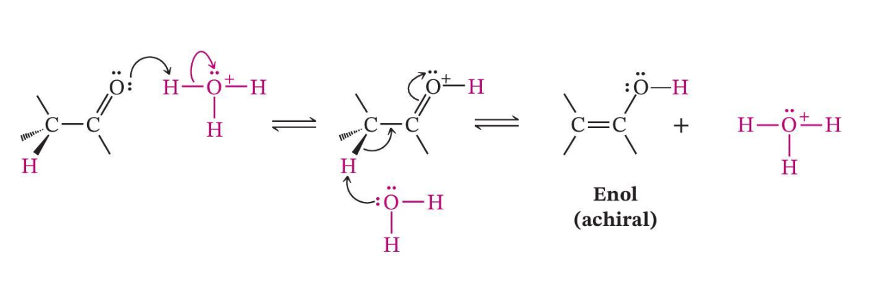
Acid-Catalyzed Enolization


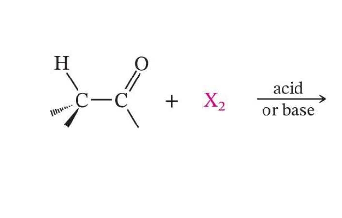
α-Halogenation

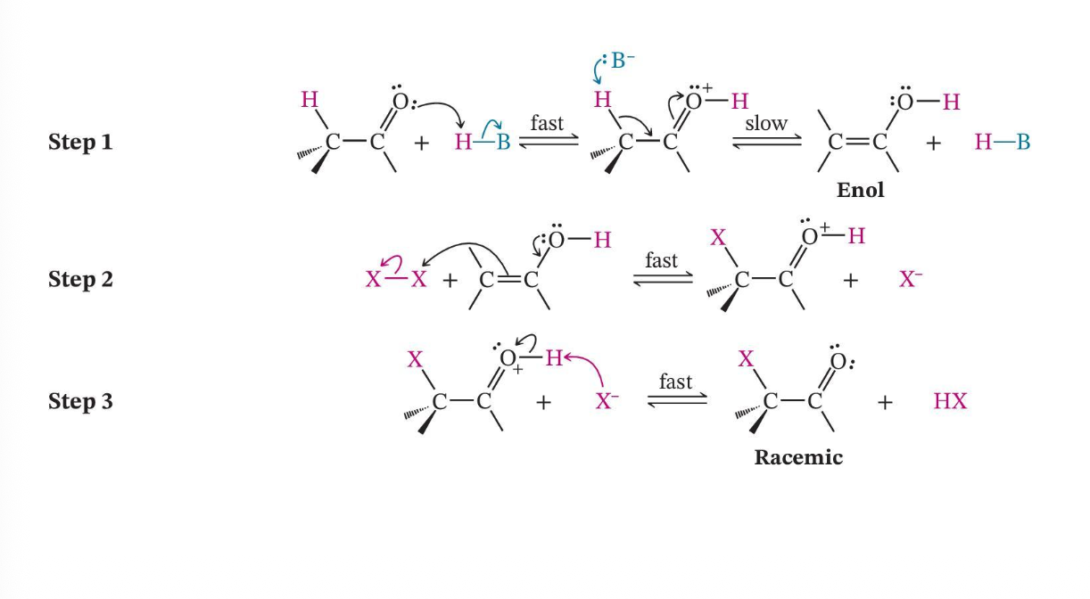
Base-Promoted Halogenation

Acid-Promoted Halogenation


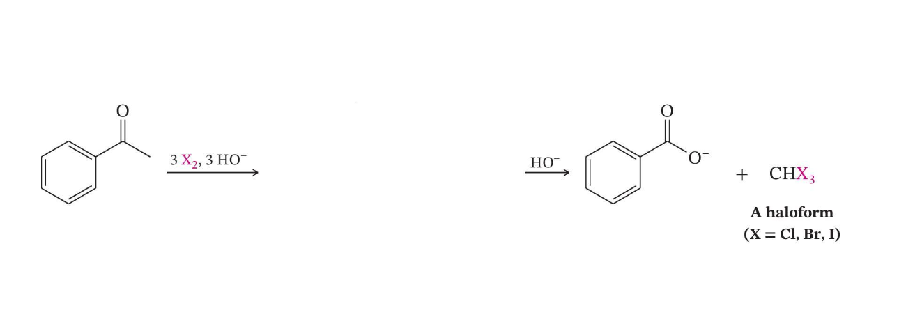
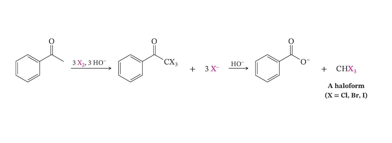
Haloform Reaction


Conversion to α-Hydroxy Acids


Conversion to α-Amino Acids

Equilibrium Direction Depends on Base

Kinetic Versus Thermodynamic Enolates


Kinetic Enolate Formation


β-Carbonyl Group Increases Acidity


Weaker Bases Can Be Used

Enolate Resonates Through Both
Carbonyls


Useful β-Dicarbonyl Compounds


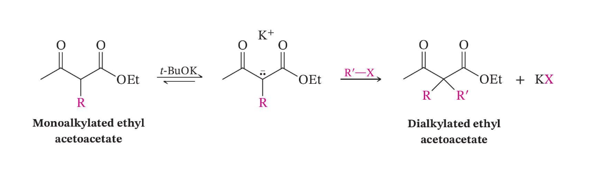
β-Keto Ester Alkylation


Dialkylation

Active Hydrogen Compounds
