1/79
Looks like no tags are added yet.
Name | Mastery | Learn | Test | Matching | Spaced | Call with Kai |
|---|
No analytics yet
Send a link to your students to track their progress
Wat kenmerkt formeel onderwijs in moderne samenlevingen
Formeel onderwijs is wijdverspreid en maakt deel uit van een uitgebreid schoolsysteem.
Hoe werden vaardigheden vroeger vooral aangeleerd in de VS
Via apprenticeships met slechts een kleine hoeveelheid formeel onderwijs.
Hoeveel mensen volgen postsecundair onderwijs in midden- en hoge-inkomenslanden
Meer dan 50% van de bevolking volgt een vorm van postsecundair onderwijs.
Waarover bestaat discussie binnen postsecundair onderwijs
Over het belang van brede vorming of liberal education.
Waarop zijn de meeste opleidingen gericht
Op gespecialiseerde training zoals recht, geneeskunde of lassen.
Wat is het effect van formeel onderwijs op de overgang naar volwassenheid
Formeel onderwijs verlengt de periode tussen kindertijd en volledig volwassen functioneren.
Hoe verschilt de leeftijd van historische leiders van die van moderne jongeren
Historische figuren zoals Alexander de Grote en Napoleon hadden al op jonge leeftijd belangrijke rollen terwijl moderne jongeren langer studeren.
Wat is de centrale vraag in onderzoek naar scholing en intelligentie
Of educatie bijdraagt aan algemene intelligentie of niet.
Waarom zijn bevindingen over scholing en intelligentie inconsistent
Omdat sommige studies effecten tonen en andere geen effect vinden.
Wat is de algemene consensus in intelligentieonderzoek over scholen en leerkrachten
Dat scholen en leerkrachten minder effect hebben op intelligentie dan vaak verwacht wordt.
Wat betekent āPity the poor teacherā
Dat slechts een klein deel van schoolprestaties door schoolfactoren wordt verklaard.
Hoeveel procent van de variantie in schoolprestaties wordt door schoolfactoren verklaard
Ongeveer 10%.
Waardoor wordt het grootste deel van schoolprestaties verklaard
Door persoonlijke kenmerken van leerlingen.
Wat onderzocht de studie van Ritchie et al.
Of educatie een effect heeft op algemene intelligentie g of op specifieke vaardigheden.
Op welke leeftijden werden deelnemers getest in de Moray House Test bij de studie v ritchie et al
Op 11 jaar en op 70 jaar.
Welke extra testen werden afgenomen op 70 jaar
Testen van vloeiende intelligentie, gekristalliseerde intelligentie en verwerkingssnelheid.
Wat voorspelt IQ op 11 jaar volgens Ritchie et al.
De kans op langere levensduur en het opleidingsniveau dat men behaalt.
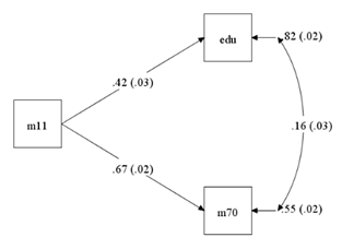
Wat toont model A in de studie van Ritchie
Een rechtstreeks effect van duur van opleiding op g en g beĆÆnvloedt subtesten.
Wat toont model B in de studie van Ritchie
Een rechtstreeks effect van duur van opleiding op g en op subtesten.
Wat toont model C in de studie van Ritchie
Geen rechtstreeks effect van opleiding op g maar wel op specifieke subtesten.
Welk model paste het best bij de data volgens Ritchie
Model C zonder rechtstreeks effect op g.
Wat is een belangrijk resultaat van Ritchie et al.
IQ op 11 jaar voorspelt jaren onderwijs met r = .42.
Wat betekent r = .42 tussen IQ en onderwijs
Mensen met hoger IQ gaan gemiddeld langer naar school.
Wat concludeerden Ritchie et al. over het effect van onderwijs op g
Dat onderwijs geen rechtstreeks effect heeft op g op 70 jaar.
Wat waren tegenargumenten van de professor tegen model C
dat theorie en data coherent moeten samenhangen
je moet knn verklaren wrm onderwijs bepaalde subtesten wel verklaard en andere niet
geen logica in het effect v jaren onderwijs op matrices redeneren, logisch geheugenā¦
specifieke effecten zijn moeilijk te verklaren zonder effect op g
heranalyse ondersteunt geen algemene g factor
Wat toonde de heranalyse met alleen de Moray House Test
Dat jaren onderwijs slechts 1% extra variantie verklaren bovenop IQ op 11 jaar.
Wat was het eerste model in de heranalyse
Intelligentie op 11 jaar ā opleidingsduur ā intelligentie op 70 jaar.

Waarom paste het eerste model niet goed bij de data
Omdat het slechts 15% van de variantie verklaarde.
Wat was het tweede model in de heranalyse
Intelligentie op 11 jaar ā zowel opleidingsduur als intelligentie op 70 jaar.

Wat toont het tweede model
Dat intelligentie relatief stabiel is.
Wat was het derde model in de heranalyse
Rechtstreeks effect van IQ op 11 jaar op IQ op 70 jaar en indirect effect via opleiding.

Hoeveel variantie in IQ op 70 jaar werd verklaard door IQ op 11 jaar bij het 3de model
45%.
Hoeveel variantie werd verklaard door opleidingsniveau
Ongeveer 1%.
Wat is de conclusie van de heranalyse
Onderwijs voegt weinig toe aan de verklaarde variabiliteit van intelligentie.
Welke drie categorieƫn studies testen het causale effect van onderwijs op intelligentie
Controlled prior intelligence, policy change en school age cutoff.
Wat betekent controlled prior intelligence CPI
Intelligentie meten voor en na verschillende jaren onderwijs.
Wat betekent policy change PC
Veranderingen in testscores verklaren door veranderingen in onderwijsbeleid.
Wat betekent school age cutoff SAC
Kinderen met verschillende leeftijden in hetzelfde schooljaar vergelijken.
Wat is de algemene conclusie van deze studies
Langere onderwijsduur is een causale factor voor hogere intelligentie.
Wat stelde Detterman over schoolprestaties
Dat slechts 10% door schoolkenmerken wordt verklaard en 90% door persoonlijke kenmerken.
Wat was Dettermans denkoefening met 1000 leerlingen
2 mogelijke condities
leerlingen willekeurig toewijzen aan klassen of groeperen waarbij het enige verschil de kwaliteit v lesgever is
gelijkaardige lesgevers, mr lln opdelen volgens cognitief vermogen
Wat was het resultaat van Dettermans denkoefening
Het effect van intelligentie is sterker dan het effect van de leerkracht. (conditie 2 > conditie 1)
Wat toont Dettermans voorbeeld
Dat scholing slechts een deel van het verhaal is.
Wat onderzocht Stecher et al.
Een groot project om schoolprestaties te verbeteren via effectievere leerkrachten.
Hoeveel kostte het project van Stecher et al.
575 miljoen.
Wat was het resultaat van het project van Stecher
Het was niet succesvol in het verbeteren van prestaties.
Wat toont dit over scholing
Dat scholing geen magische manier is om intelligentie te verhogen.
Hoe vergelijkt Jensen intelligentie met basketbal
Lange mensen hebben voordeel maar training blijft belangrijk.
ā kleine mensen knn met genoeg training ook winnen
ā hoe meer scholing hoe meer tools om te functioneren in de maatschappij
Wat betekent Jensens basketbalmetafoor voor scholing
Scholing helpt functioneren maar bepaalt intelligentie niet volledig.
Wat onderzocht Ritchie en Tucker-Drob in hun meta-analyse
Het effect van scholing op intelligentie.
Wat was het eerste effect van scholing in de meta-analyse
Moeilijkere studierichting leidt tot hogere IQ-scores bij gelijk start-IQ.
Wat was het tweede effect van scholing in de meta-analyse
Verhoging van leerplichtleeftijd verhoogt IQ-scores.
Wat was het derde effect van scholing in de meta-analyse
School age cutoff beĆÆnvloedt IQ-scores.
Hoeveel stijgt IQ gemiddeld per jaar scholing volgens de meta-analyse
Tussen 1.2 en 5.2 IQ-punten per jaar scholing.
Welke vragen blijven bestaan bij deze resultaten
Of het effect blijft in volwassenheid, additief is en effect heeft op g.
Wat onderzocht Hegelund et al.
Het effect van aantal jaren onderwijs op IQ in volwassenheid.
Welke leeftijden werden onderzocht in de studie van Hegelund
IQ op 12 jaar en IQ in jong- en middenvolwassenheid.
Hoe groot was het IQ-verschil tussen 7 en 17 jaar opleiding in jongvolwassenheid
22 IQ-punten.
Hoe groot was het IQ-verschil in middenvolwassenheid
13 IQ-punten.
Bij wie was het effect van onderwijs het grootst
Bij mensen met een laag start-IQ. (die dus laag starten en lang scholing volgen)
Hoeveel variantie in IQ werd verklaard door IQ op 12 jaar
46%.
Hoeveel werd verklaard na toevoeging van onderwijsjaren
53%.
Hoeveel variantie werd dus door onderwijs verklaard en wat betekent dit in iq punten
7% ā ongeveer 13 iq punten verschil tussen weinig en veel scholing
= scholing wel degelijk een effect
Waarom verschillen resultaten tussen Denemarken en Schotland (1% en 7%)
Door verschillen in toegang tot onderwijs.
Hoe verschilt toegang tot onderwijs tussen Denemarken en Schotland
Denemarken heeft toegankelijk onderwijs terwijl Schotland elitairder en duurder is.
Welke tweede verklaring is er voor verschillen tussen studies
Leeftijd waarop intelligentie werd gemeten.
denen (7%) = gemeten in midden volwassenheid aan de top vd professionele carriĆØre
schotten (1%) = gemeten bij gepensioneerden die minder cognitief actief zijn
Wat is het fade-out effect bij gepensioneerden
Cognitieve prestaties dalen wanneer cognitieve uitdaging wegvalt.
Waar heeft opleiding vooral effect op en hoe verschilde dit tss ricthie en de denen
Op gekristalliseerde intelligentie
ricthie keek niet echt nr gekristalliseerde intelligentie, denen wel
heeft invloed wnt gekristalliseerde intelligentie is waar opleiding vnl een effect op heeft
Wat is een algemene conclusie over genen en intelligentie
Genen verklaren niet alles.
Welke niet-genetische factoren beĆÆnvloeden intelligentie
Loodinname, slechte voeding en andere omgevingsfactoren.
Wat is in de praktijk makkelijker
Schade aanrichten dan intelligentie verhogen.
Wat tonen voorschoolse programmaās
Soms lange termijn effecten op levensuitkomsten maar weinig effect op IQ.
Wat is het effect van formeel onderwijs op intelligentie
Beperkt en onduidelijk voor g-factor.
Wat is intellectuele engagement
Zich bezighouden met cognitief uitdagende activiteiten.
Wat doen intelligente mensen vaker
Zich bezighouden met cognitief uitdagende activiteiten.
Wat kan intellectuele engagement verbeteren
Specifieke cognitieve vaardigheden.
Waarom leidt dit tot kleine IQ-stijgingen
Omdat g-factor niet noodzakelijk verhoogt.
Waaruit moet effectief beleid rond intelligentie bestaan
Complementaire maatregelen.
Wat is de eerste stap in beleid rond intelligentie
Schadelijke factoren verminderen.
Wat is de tweede stap in beleid rond intelligentie
Wetenschappelijk bewezen positieve interventies toepassen.