1/36
Name | Mastery | Learn | Test | Matching | Spaced | Call with Kai |
|---|
No analytics yet
Send a link to your students to track their progress
How does electron transport lead to the formation of a proton gradient?
One member of the transport chain is reduced by both H+ and electrons, but only the electrons are passed to the next member
Important industrial production of acetone, butanol and other organic solvents depends on
Clostridial fermentation
Which of the following correctly describes the direct mechanism of chemiosmotic ATP synthesis?
Energy from a H+ gradient turns a rotor to push ADP and ~P together
Rhizobium produces leghemoglobin
To bind to O2 in order to protect nitrogenase
You are working for a company that makes I.V. solutions for use in hospitals. A particular solution contains some ingredients that are not stable at high temperatures. You are preparing the I.V. solution, putting it in airtight bags, and then sterilizing it. How would you sterilize it?
Expose the I.V. bags to X-ray radiation
Why do most photosynthetic bacteria produce a complex containing antenna pigments?
It allows them to channel additional photons of light to the reaction center
You are an engineer working on a bridge repair project. You notice that the buried iron bridge supports are coated in black, smelly ooze. What could you conclude is present in the soil?
Sulfate
The enzyme DNA polymerase
requires a short sequence of bases with a 3’ OH to initiate its reaction
Why is hydrogen peroxide (H2O2) considered high-level if used as a disinfectant, but only low level if used as an antiseptic?
Skin contains catalase, which can make H2O2 less effective
Which of the following bacteria carry out fermentations important to the food industry in the production of dairy products and sauerkraut?
Lactic acid bacteria
Which of the following is carried out by the spliceosome?
removal of introns from eukaryotic RNA
How does UV light kill bacterial cells?
by mutating the DNA
Some viruses have an RNA genome rather than DNA, and so they use RNA polymerase for replication. What conclusion can you make about such viruses?
Their replication has a very high mutation rate
We said that transcription (trs) and translation (trl) are "coupled" in prokaryotes. Can they be coupled in eukaryotes?
No, because Mrs and try occur in different cell compartments in eukaryotes

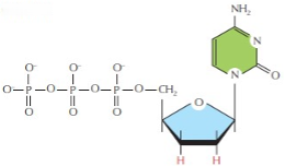
If the structure shown on the right is introduced into a bacterium, what would happen?
because a base cannot be added to it, it would stop replication
A gene whose product catabolizes DDT as a carbon source is “induced” by DDT. What does this mean?
The gene is only transcribed in the presence of DDT

The diagram on the right depicts the initiation step in translation. What is shown incorrectly?
The A’ and E’ sites are switched
Which of the following does NOT rely on the use of an oligonucleotide probe?
Examining gene transcription with a reporter gene

Which of the following would be the MOST damaging mutation to a gene?
insertion of a C into the coining sequence of a gene
Algae are primarily classified based on
the color of their photosynthetic p[igments
You read in a scientist's lab notebook that a probe for the sequence 5'-GCGTAA-3' was made with the sequence 5'-TTAGGC-3'. This was most likely
a mistake. G does not pair with G, so the probe will not function
What is the purpose of cassette switching as a method of gene regulation?
To express gene variants that are otherwise silent
Ringworm is a
cutaneous fungus
Given how they infect cells, plant viruses have somewhat different anatomy from animal viruses. Which of the following is true?
Plant viruses are almost always naked
2008 Nobel Prize was awarded to the discoverers of the GFP reporter gene. What is a reporter gene?
A gene with a visible product used to report the activity of another gene’s promoter
Which of the following is NOT part of the Schistosome life cycle?
Eggs are ingested by humans who eat contaminated food

To monitor the course of a viral infection, a doctor samples a patient's blood and tests for the presence of a viral matrix protein. Over the course of several years, the results are shown in the graph on the right. What can you conclude about this virus?
It causes a chronic infection
Which of the following sequences is considered a palindrome?
5’-CGATCG-3’
Which of the following targets for antimicrobial drugs would be associated with the LOWEST therapeutic index?
Bacterial cell membrane

Which part(s) of the virus come(s) only from the host cell?
The part labeled D
An important innate immune function of the skin is
its secretion of an iron-binding protein
Why has the existence of R-plasmids made antibiotic overuse dangerous?
Using one antibiotic can select for growth of bacteria with multiple drug resistance
What is the main function of TC (cytotoxic T) cells in the immune system?
To use perforin to kill infected cells
Viruses in Baltimore Group V have negative stranded (negative sense) RNA genomes. Which of the following must be true?
They must carry a polymerase as a virus0associated enzyme
Which of the following is NOT a barrier to invasion that is typically found at a portal of entry?
A large concentration of PMNs
Which of the following is NOT used as a target for antiviral agents?
Protein synthesis
Which of the following groups of cells are all phagocytes?
Neutrophils, Dendritic cells and Macrophages