1/37
Looks like no tags are added yet.
Name | Mastery | Learn | Test | Matching | Spaced | Call with Kai |
|---|
No analytics yet
Send a link to your students to track their progress
what is a solution to the wave equation
any function that propagates: pressure(x,t)=f(x±ct)
what happens when you differentiate the solution to the wave equation
if you differentiate by time twice: pressure(x,t)=c2f’’(x±ct)
if you differentiate by space the equation does not change
difference between a one way and two way wave equation
in the one way wave equation: dt2d2P−c2dx2d2P → C2can be either (+C)2 or (−C2) the direction is not specified
therefore the solution is the sum of both left and right moving waves: pressure(x,t)=f(x+ct)+f(x−ct)
in the two way wave equation the direction of wave propagation needs to be specified:
dt2d2P−c2dx2d2P=(∂t∂−c∂x∂)(∂t∂+c∂x∂)p=0
how to check if something is a solution to the wave equation
take the 2nd order derivative of the function with respects to space
take the 2nd order derivative of the function with respects to time
substitute both derivatives into the 1D wave equation: c021dt2d2P=dx2d2P
if both sides are equal to each other then the equation is a solution to the wave equation
what does it mean if something is a solution to the wave equation
it means that the equation is describing a possible wave pattern than moves through space and time according to the physics of wave propagation
c term describes the speed of propagation
+ve → moving left
-ve → moving right
what is a single frequency harmonic wave
it is a sinusoidal wave that propagates in 1 direction without changing amplitude and has a single constant frequency
how can a harmonic wave be written
by function of space, where k is the wavenumber:
acos(kx) asin(kx) aeikx
by function of time, where w is the angular frequency:
acos(wt) asin(wt) aeiwt
as a propagating wave:
acos(kx±wt) asin(kx±wt) aeikx±wt
for the exponent form:
real component is the
the imaginary component is the phase of the wave
propagation direction of a single frequency harmonic plane wave
(kx±wt) the value inside the bracket need to stay constant
therefore:
(kx−wt): as w increases k also has to increase → moves in +ve x direction
(kx+wt): as w increases k has to become more negative → moves in -ve x direction
(−kx−wt):as w increases k has to become more negative→ moves in -ve direction
(−kx+wt): as w increases k also increases _> moves in +ve direction
when is a single frequency harmonic wave a solution to the wave equation
if k=±cw or if w=±ck
2D and 3D harmonic waves
k and x have (x,y,z) components
the wavenumber = kx2+ky2+kz2
the equation is now aei(k⋅x±wt) → since K now has component it’s now a dot product
planewave is now a solution if w=c∣k∣
what is fourier or K space?
is the x, y and z components of the wavenumber plotted onto a graph
each point contains frequency and phase information
decomposes any sound field into a sum of different harmonic plane waves
ΣP(kx,Ky,kz)ekxX+kyY+kzZ
where:
P(…): amplitude of each directional component
exponent: plane wave in each dimension
what is superposition
the sum of solutions to the wave equation is itself a solution to the wave equation as the wave equation is linear
what can be used to model the solution of a very complex wave
any complex sound wave can be described as a sum of point sources (dirac delta function) but the wave function P must be the green’s function for the equation to work

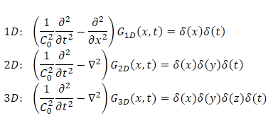
what is the green’s function, how can else can it be written
it is the solution for a wave equation which has dirac delta functions as a source
describes how a heterogenous medium affects the echo of the incident wave as it travels from point source at x’ to receiver at x
G(x,t)
1D green function
2c0δ(t−c0∣x∣)

2D green function
2πt2+co2∣x∣2δ(t−c0∣x∣)

3D green function
4π∣x∣δ(t−c0∣x∣)

why is the green’s function usefull
can be used to model a very complex source (ex: non-uniformly shaped) as a sum of point sources
how do you write out a complex source as a sum of green’s functions why is this function implicit

how is the numerical solution to the wave equation found
using the finite difference method:
a grid of points is overlayed on the image
dtd and ∇2 in the wave equation can eb replaced by the gradient between point
what is the gradient between grid points called
finite difference approximations
what are the types of finite difference approximations
fowards difference Δxfi+1−fi
backwards difference Δxfi−fi−1
central difference 2Δxfi+1−fi−1

numerical solution using the forwards difference
if we know a few grid points f(x+Δx)
take the taylor expansion around x: f’(x)=Δxf(x+Δx)−f(x)+O(Δx)
what is the big O notation
it is the error caused by truncation and the 2nd order derivative term → error in a first order accurate approximation
we truncate the expansion to the 3rd term and rearrange for the 1st term
any expansion above the 3rd term is so small it is insignificant
error decreases linearly if we include more terms
what is the second order accurate central difference scheme
f’’(x)=(Δx)2f(x+Δx)+f(x−Δx)−2f(x)+O(Δx2)
how does the big O change with truncation number
O(Δxn)
how do you solve the wave equation with numerical solution
replace the 1st and 2nd order derivatives with the 2nd order finite difference equations
replace the function with Pjn
Pjn+1=2Pjn−Pjn−1+(ΔxcoΔt)2(Pj+1n+Pj−1n+Pjn)
this tells us each pressure value on the field varies with:
adjacents points in space and time
when does finite difference scheme breakdown
near the edge of the grid → edge values = 0

what happens if we take smaller and smaller differences in space and time between points
solution converges as differences approaches 0 → converges to the derivative (true value) then the value no longer changes

what is consistency
the limit of the finite difference scheme equation (equation approximating the gradient) gives us the actual gradient as the limit approaches 0
what is numerical dispersion
numerical error in the FDS which introduces a frequency dependent sound speed
dt2d2p=co(k)2dx2d2p where c(k)=sinc(2cokΔt)sinc(2kΔx)co
→ wave changes shape due to numerical dispersion → different frequency waves travel at different speeds causing the sound wave to disperse
how is pressure information stores in FDS
each value of p in each area is stored as a vector producing an array at time t
at each time the array is updated → time stepping scheme
what is stability in time stepping scheme
restriction on the time step size
explain stability
your grid of points is separated by Δx
wave moves with distance c0Δt → if Δt (timestep) is very large → sound wave moves a very large distance every loop → maths blows up
what are the stability limits
\Delta t < \frac{\Delta x}{c_0}
courant-friedrich-lewy number
CFL=\frac{c_{o}\Delta t}{\Delta x}<1 for 1D
higher dimensions CFL <\frac{1}{\sqrt{D}} where D is the number of dimensions
when is the numerical method used
material properties are not uniform
wave propagation is non-linear
acoustic absorption follows a frequency power law
what is peter lax’ equivalence theorem
consistency: numerical solution reduces to the wave equation as the limit approaches 0
stability: error in the numerical solution doesn’t grow without bound
convergence: as limit approaches 0 the FDS reaches the derivative (true solution)
if a numerical scheme is consistent and stable it always converges