1/13
Looks like no tags are added yet.
Name | Mastery | Learn | Test | Matching | Spaced | Call with Kai |
|---|
No analytics yet
Send a link to your students to track their progress
når er et dobbeltintergral derivergar
området vi integrerer over (D) må være:
lukket og begrenset
randen til D består av et endelig antall kurver av endelig lengde
F er kontinuerlig på D


hva er et x-enkelt og et y-enkelt område
Et område (D ∈ R²) er y-enkelt dersom:
x ligger mellom et intervall (eks a <= x <= b)
y ligger mellom 2 funksjoner (eks c(x) <= y <= d(x))
c(x) og d(x) er kontinuerlige funksjoner
c(x) <= d(x) for alle x ∈ [a,b]
(motsatt for x-enkelt)
![<p>Et område (D <span style="line-height: normal;">∈</span> R²) er y-enkelt dersom:</p><ol><li><p>x ligger mellom et intervall (eks a <= x <= b)</p></li><li><p>y ligger mellom 2 funksjoner (eks c(x) <= y <= d(x))</p></li><li><p>c(x) og d(x) er kontinuerlige funksjoner</p></li><li><p>c(x) <= d(x) for alle x <span style="line-height: normal;">∈</span> [a,b]</p></li></ol><p></p><p>(motsatt for x-enkelt)</p><p></p>](https://assets.knowt.com/user-attachments/f5cd0e01-28f1-47ff-a606-59f0651cc31e.png)
hvordan integrerer vi over et y-enkelt område

hvordan integrerer vi over et x-enkelt område

når bør man bytte om når man skal løse et integral som x-enkelt/y-enkelt
når funksjonen kun har én variabel, slik at vi starter med å integrere mhp den variablen funksjonen mangler

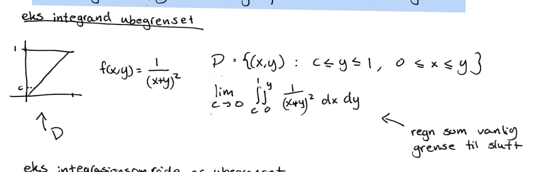
hva er uegentlige integraler
når integranden og/eller integrasjonsområdet er ubegrenset
hvordan beregnes uegentlige integraler
setter opp et dobbeltintegral, men setter inn et variabel for problemområdet.
ser så hva som skjer når lim går mot problemområdet

divergere vs konvergere
divergere: går mot +- uendelig
convergere: går kom et tall
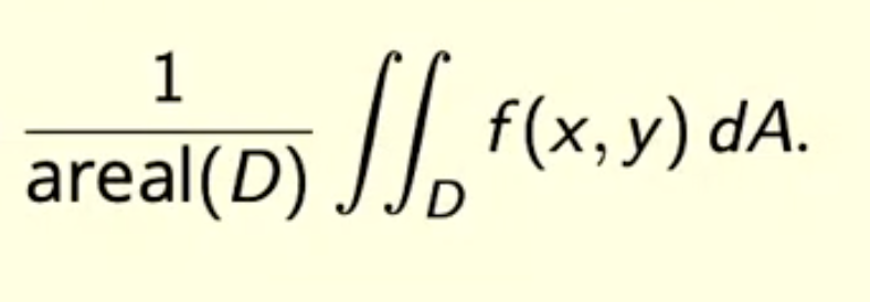
Hva er middelverdi (for flervariable funksjoner) og hvordan finner vi den?
gjennomsnittsverdien

hva sier middelverdisetningen (for 1 og 2 variabler)

hvordan gjør man et variabelskifte til polarkoordinater (integrasjon)
Hvor ρ1 og ρ2 bedriver min og max verdier av radien og α og β beskriver vinkelspennet
obs: r>0 og 0 ≤ θ ≤ 2π fordi ved integrasjon trenger vi entydighet, aka. et hvert punkt (x,y) sendes til ét punkt (r,θ)
