1/7
Looks like no tags are added yet.
Name | Mastery | Learn | Test | Matching | Spaced | Call with Kai |
|---|
No analytics yet
Send a link to your students to track their progress
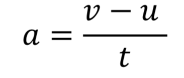
Acceleration
v = final velocity (m/s)
u = initial velocity
t = time (s)

Weight
W = mg
m = mass (kg)
g = gravitational field strength (9.8m/s²)
Force
F = ma
Spring constant
k = F/x
F = force (N)
x = extension (m)
Fluid Pressure
P = 𝜌gh + A
𝜌 = density of medium (Kg/m³)
g = gravitational force (9.8m/s² or N/kg)
h = height of point from water surface (m)
A = atmospheric pressure (Pa)
Work done
W = Fd
W = work done (J)
F = Force (N)
d = displacement/distance (m)
Power
P = W/t
P = power (W)
W = work (J)
t = time (s)