1/33
Looks like no tags are added yet.
Name | Mastery | Learn | Test | Matching | Spaced | Call with Kai |
|---|
No analytics yet
Send a link to your students to track their progress

Assign each of these nucleophiles as an axial or equatorial attack.






Show mechanism.


Show mechanism.

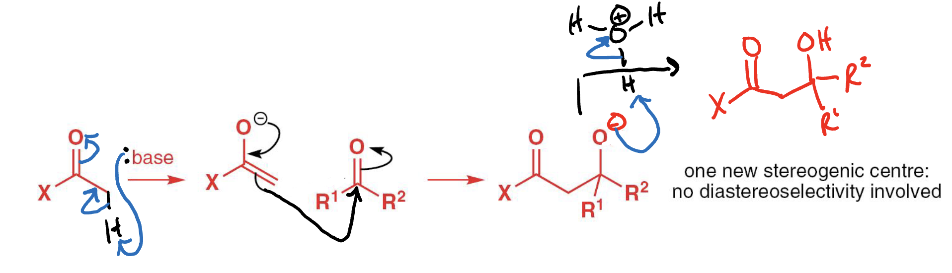
Creation of a new stereocenter in a molecule with an existing stereocenter produces what kind of stereoisomer? Typically, how many stereoisomers are possible?
diastereomers, 2^n when n=# of stereocenters
What reducing agents attack axially? Equatorially?
LiAlH4 and other similar sized reagents (small) attack axially. LiAlH(Ot-Bu)3 and other similar sized reagents (large) attack equatorially.
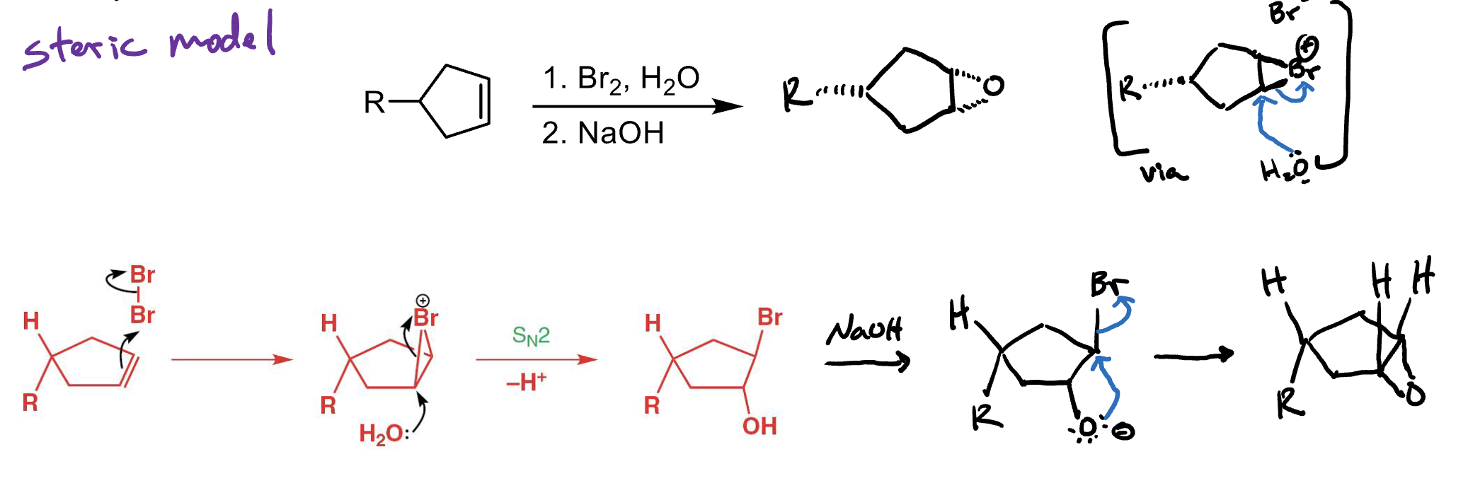
Is the attack of a cyclohexane equatorial, axial, or circumstantial?
Always axial

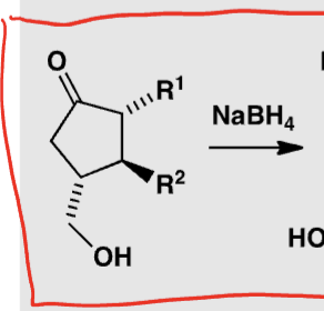
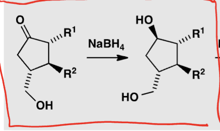
Draw mechanism. Give flat and chair product.

Name the most common bases for enolation.
LDA, KOH, KOtBu

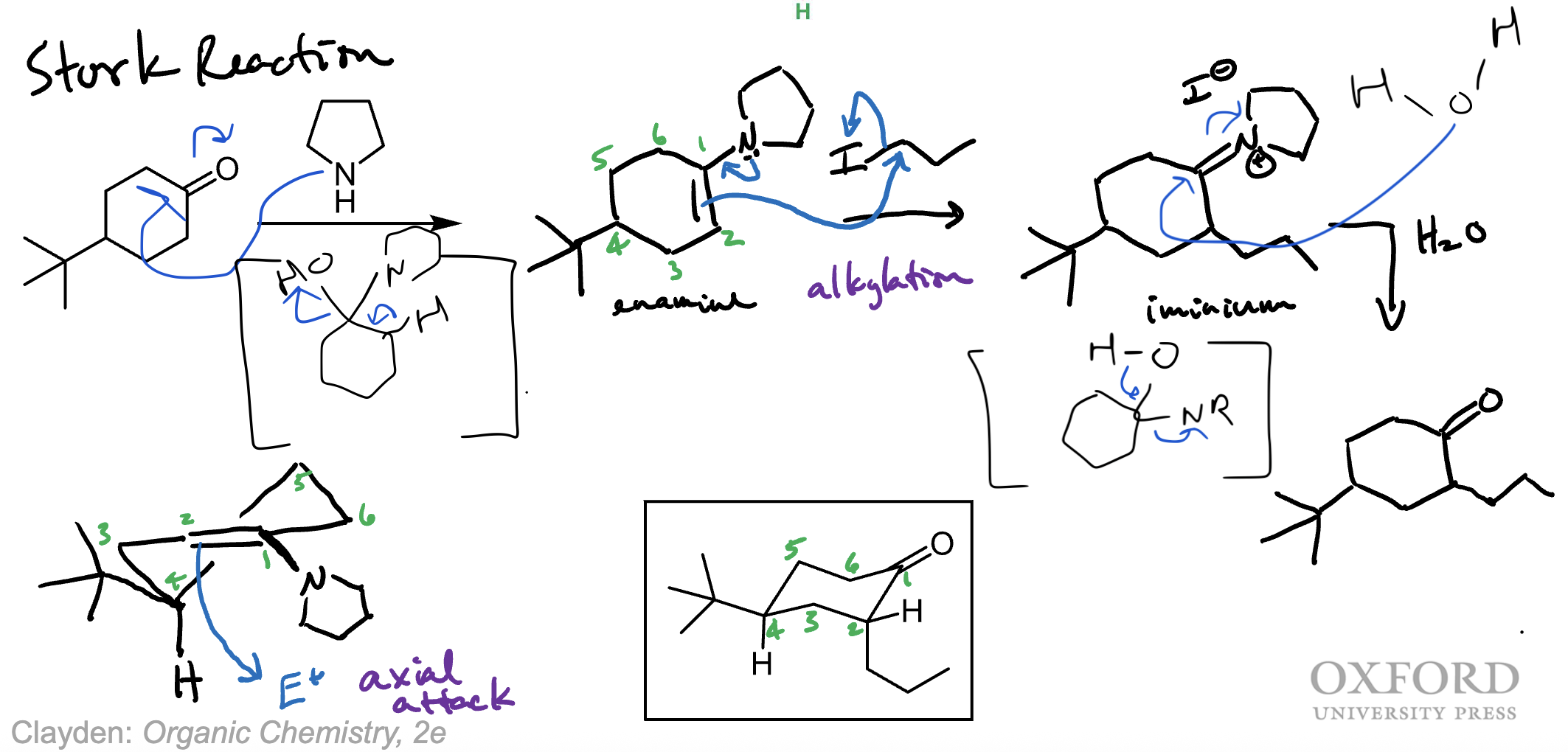
Show mechanism.










Show mechanism.








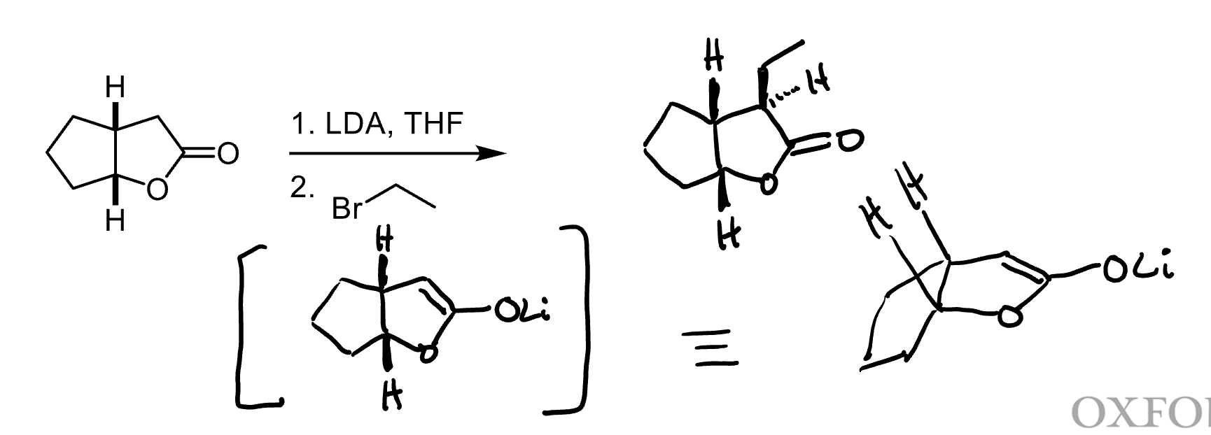
Add a methyl through alkylation. Show mechanism.








Show mechanism for aldol reaction. Add a ketone.






State which groups are cis and trans.

What type of aldol does cis confirmation produce? Trans conformation?
Cis produces syn aldol. Trans produces anti aldol.

Redraw as chair confirmations. Include transition state.


Redraw as chair confirmation. Include transition state.








