1/32
Looks like no tags are added yet.
Name | Mastery | Learn | Test | Matching | Spaced | Call with Kai |
|---|
No analytics yet
Send a link to your students to track their progress
Moving Vessel
Horizontal Motion

Moving Vessel
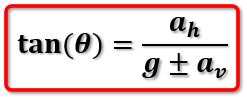
Inclined Motion

Moving Vessel
Vertical Motion

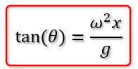
Rotating Vessel (tan)

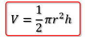
Volume of paraboloid

Volume Flow Rate

Mass Flow Rate

Weight Flow Rate

Bernoulli’s Equation

Power of Pumps and Turbines

Efficiency of Pumps and Turbines

Reynold’s Number

Reynold’s Number non circular

Laminar Flow

Turbulent Flow

Entrance Length of Pipe (Laminar Flow)

Entrance Length of Pipe (Turbulent Flow)

Minor Headloss
Pipe Enlargement (Sudden)

Minor Headloss
Pipe Enlargement (Gradual)

Minor Headloss
Pipe Contraction and Pipe Components

Major Headloss
Darcy-Weisbach (all sections)

Major Headloss
Darcy-Weisbach (circular sections)

Major Headloss
Darcy-Weisbach - Friction Factor (Laminar Flow)

Major Headloss
Darcy-Weisbach - Friction Factor (Turbulent Flow)

Major Headloss
Hazen-Williams

Major Headloss
Hazen-Williams (all sections) (v)

Major Headloss
Hazen-Williams (circular sections) Q

Major Headloss
Manning (all sections)

Major Headloss
Manning (circular sections)

Pipes in Series

Pipes in Parallel

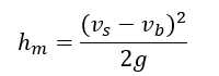
Parabola (SPP)

Rotating Vessel (y)
