1/177
Looks like no tags are added yet.
Name | Mastery | Learn | Test | Matching | Spaced | Call with Kai |
|---|
No analytics yet
Send a link to your students to track their progress
What channels does government policy influence economic outcomes through?
Fiscal and regulatory channels
When does the First Welfare Theorem hold?

What does the FWT imply about markets and the equilibrium?

Why would the government intervene in the provision of public goods?

Why would the government intervene in markets that are not complete and competitive?

Why would the government intervene in markets regarding inequality?

How many periods are in our model?
Two-period representative household model
What is the aim of the model?
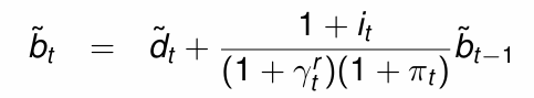
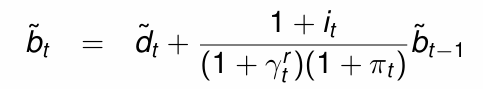
Add government debt and abstract from capital to show conditions under which debt is irrelevant
When can the government issue debt in the model?
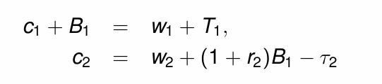
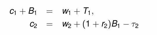
t = 1
What does the debt finance?
Lump-sum transfer T1
What is T1 financed by?
Issuing debts B1
How are the debts B1 paid back?
Lump-sum tax τ2
How are preferences defined in the model?

What is the population size?
Normalised to 1
What do households do in each period?

By abstracting from savings, what are the budget constraints of the household in each period?

When would debts change the decisions of the household?
If they affect their lifetime budget constraint

Aggregate the two budget constraints and simplify


What condition must second-period tax satisfy?
Second-period tax must cover the payments for bonds to finance the first period transfer payments

What is the lifetime budget constraint when τ2 = T1 = 0?
Lifetime budget constraint unaffected

What must the household’s decisions be identical to?
Those in the situation of zero taxes and transfers
How much does the household reduce c1 by and what does that amount correspond to?

What does the reduction in consumption (increase in savings) exactly match?

What factors does Ricardian Equivalence rely on regarding taxes, credit and transfers?

What does it not hinge on?
There being no capital
What time horizon does the result extend to?
An infinite-horizon economy
Are taxes lump-sum in reality?
No, they are distortionary
What would productive expenditures do to households?
Change the household’s intertemporal budget constraint
What might governments do with their debt?
May choose to default
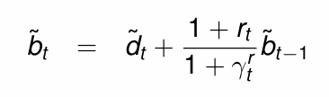
What is the budget constraint of the government?


What does each term represent?


What happens if expenditures exceed revenues?

What then happens if Bt > Bt-1?
Public debt rises
How do we define the stock of debt at any point in time?
The cumulative sum of net deficits run by a government through history
How does government spending differ across countries on average?

How has US government expenditure and revenues changed over time?

How have various taxes imposed by the US government changed over time?

How has the US primary deficit and net interest payment changed over time?

How has total US government debt changed over time?

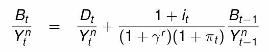
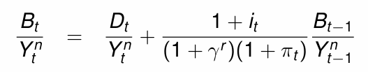
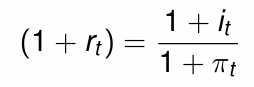
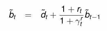
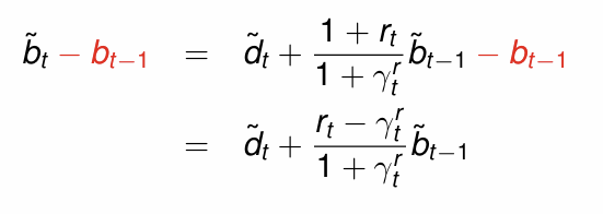
What is the equation for Bt which focuses on the government’s primary deficit?


Divide through by nominal GDP


Rewrite this term using the real growth rate of GDP and the inflation rate


Substitute back into the equation for Bt/Ynt


Relabel terms that are shares of nominal GDP using lowercase letters

What is the equation for the real interest rate?


Substitute the real interest rate into the relabelled equation


What does this tell us?
How the debt-to-GDP ratio evolves
What does the change in the debt-to-GDP ratio depend on?
The difference between the real growth rate and real interest rate

When dt = 0, when does bt increase/decrease?


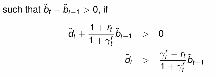
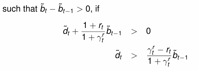
What is the equation for bt - bt-1?


When is bt - bt-1 > 0?


What does this tell us?
The debt-to-GDP ratio is increasing for primary deficits exceeding the LHS of the expression
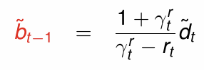
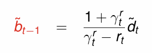
What is the equation for the debt-to-GDP ratio that can sustained for a given primary deficit?


Suppose the growth rate is projected to 3%, the long-run real interest rate is 2%, and the primary deficit is projected at 3%; what is the sustainable debt-to-GDP ratio?

Is it realistic that a debt-to-GDP ratio of 309% is sustainable?

What does the sustainability of debt measure ignore?
The incentive to default, which is increasing in the size of the debt
Given we ignore the incentives of the government to default, what may happen?

Who/what does the government tax and what does that fund under distortionary taxes?
The government taxes labour and capital incomes to finance government consumption and maybe transfers
What is the equation for the balanced budget of the government?

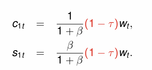
What do households do in the first period of their life?
Households offer labour, consume, and save in their first period of life
What are we assuming with log-linear utility?
No effect of interest rate changes on savings (IE and SE of interest rate changes offset each other)
What is the lifetime utility of a two-period OLG household for distortionary taxes?

What are the household’s budget constraints?

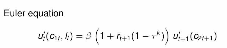
What is the Euler equation?


What is the impact of capital income tax on the Euler equation?
Reduces the RHS of the Euler equation
How does this impact consumption?

What then happens to c2t+1, s1t and k?

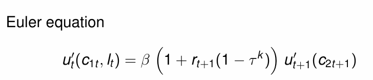
What is the production function for firms under distortionary taxes?

Profit maximisation under perfect competition implies the equations for MPK and MPL are what?


What is the impact of a decline in capital intensity from the higher capital income tax?
Wages shrink and pre-tax interest rate increases
What is the impact of the fall in wages on labour supply?

What is the impact of a labour income tax rather than a capital income tax?
Similar to the capital income tax; likely decline in labour supply and a reduction in savings due to lower disposable incomes
What do taxes distort regarding equilibriums?
Taxes distort the equilibrium distortion relative to the market equilibrium with zero taxes
What does this constitute regarding welfare?
Pareto optimum and a welfare maximum
Hence, what do distortionary taxes do to welfare?
Reduce welfare
Why do distortionary taxes reduce welfare?
Only reason to raise taxes was to finance government consumption (and transfers) since there are no externalities or public goods to provide
Why does Ricardian Equivalence tend to fail?
Lump-sum taxes are considered unfair since poorer households pay proportionally more
What did Aschauer (1989) indicate about movements in public investment on private-sector output?

What framework do we adapt to showcase productive government expenditures?
Barro (1990)
How do we denote productive government expenditures financed by labour income taxes?
G
How do we denote the balanced budget of the government?

How many firms are there?
Continuum of identical firms, i ∈ [0,1], operating under perfect competition
How do we denote the technology of the firms?

How do we denote the profit maximised by firm i under perfect competition?


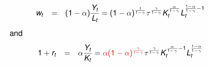
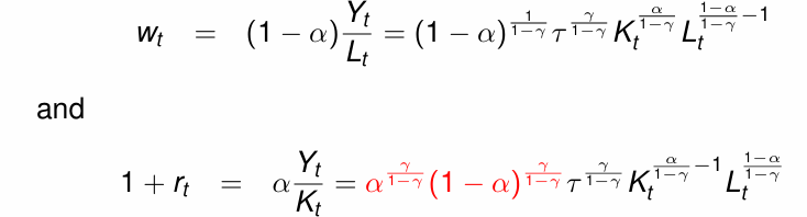
How do we denote wt and (1+rt) given the FOC?

How do we denote the lifetime utility of the household?


What is it maximised subject to?


How do we then denote c1t and s1t after maximisation?

From the balanced budget constraint and aggregating over time, what is the equation for Yt?

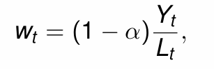
If wages must be equal in equilibrium, what is the equation for wt?

Using the equation for wt, how can we adapt the aggregate balanced budget constraint?


Therefore, what is the aggregate output in equilibrium?

How can we rewrite wt and (1+rt) using the aggregate output in equilibrium?


What do they tell us about the impact of an increase in τ?
Wages and interest rates are increasing in τ
When assessing dynamic behaviour at the equilibrium of productive government expenditures, what do we assume about population sizes and growth?
Abstract on population growth and normalise Lt = 1
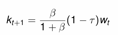
Given that capital depreciates entirely, what is kt+1 the same as?
kt+1 = Kt+1 = s1tLt = s1t
Using the household optimal s1t, what does kt+1 become?


Substituting wt into kt+1 gives what?
Dynamic equation


What are the two opposing effects of τ on available incomes and capital accumulation?

Why is τ = 0 not advisable?
Implies G = 0 → Y = 0