1/14
Looks like no tags are added yet.
Name | Mastery | Learn | Test | Matching | Spaced | Call with Kai |
|---|
No analytics yet
Send a link to your students to track their progress
One-way ANOVA

Model assumptions one-way ANOVA

Estimation by least squares

Residuals and fitted values

Sum of squares in ANOVA table

Fisher’s LSD method
When pairwise comparisons by the LSD method are only performed after asignicant result with the F-test, the LSD method is called F-protected

Type I error

Tukey’s Test (honest significant difference)

Two-way ANOVA model without interaction

Two-way ANOVA model with interaction

ANOVA decomposition - splitting SSTreat

ANCOVA

ANCOVA - motivation to include covariate x

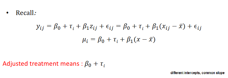
Adjusted treatment means

ANCOVA assumptions
