1/3
Covers Karnaugh maps, boolean algebra (De Morgan’s Laws, distribution, association, commutation, double negation), logic gate diagrams and truth tables, D type flip flops, half and full adders
Name | Mastery | Learn | Test | Matching | Spaced | Call with Kai |
|---|
No analytics yet
Send a link to your students to track their progress
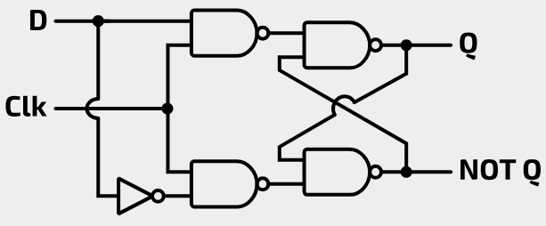
State the purpose of a D-type flip-flop circuit.
Store a value of 1 bit
When a signal is given
Describe the inputs and outputs used by a D-type flip-flop circuit, explaining how the inputs are used to control the outputs
Data and clock input
Q output (outputs the value stored by the flip-flop)
When clock input goes high/ on rising edge of clock input (when it changes from 0 to 1) Q changes to data
NOT Q is reverse of Q

To be completed
To be completed