1/167
Looks like no tags are added yet.
Name | Mastery | Learn | Test | Matching | Spaced | Call with Kai |
|---|
No analytics yet
Send a link to your students to track their progress
Are our houses wired in series or in parallel?
in parallel
why are houses wired in parallel?
to make sure that if one branch stops working, the entire house doesn’t lose power
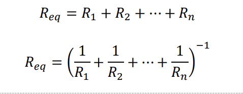
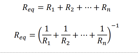
the equation for the equivalent resistance of resistors in parallel is the top or bottom one?
bottom


the equation for the equivalent resistance of resistors in series is the top or bottom one?
top
in a series, what is the same for all?
current
junctions are…
point where 3 or more devices are connected
junctions alway occur in…
pairs
power branch =
branch with power source
branches that are connected in parallel are _____ from each other.
independent
each branch in parallel makes its own…
single loop with the power source
T/F. Current in parallel branches is different.
True, it depends on the devices in each branch
what is the same for branches in parallel?
voltage
branch
segments that carry different current
junctions split circuit into _____.
branches
the highest current is that which is in the ___ ___.
power branch
the currents of all devices must…
add up to current of power source
resistance and current have a ___ relationship
inverse
in parallel, the device with the lowest resistance will get the _____ part of the total current.
largest
in parallel, the device with the highest resistance will get the ____ part of the total current.
smallest
at a junction, all current that enters must also
leave
the more branches added to a voltage source the…
higher the current will be in the source
what is the disadvantage of adding too many branches to a voltage source in parallel?
the higher the current, the more heat will be produced which can damage the source
the more branches connected in parallel, the lower the…
equivalent resistance
in a simple single loop, there is one ___ and one ____.
device, battery
a multi loop circuit has one ___ and multiple ____.
source, branches
an image is everything you see in a ____/____ ____
mirror/reflective surface
the branch that has the highest power has the lowest ____
resistance
how do we know that our houses are in parallel and not in series?
when we turn one thing off, everything else does not turn off
what is the function of a cfircuit breaker?
detects power surges and stops flow of electricity before damage is done
why is it not a good idea to produce an overload anywhere in our homes?
can cause fire
in our homes what is the voltage that we receive? (how many volts)
120 V
do we get AC or DC voltage in our homes?
AC
lodestones are rocks that…
always pointed in the same direction
how were lodestones used?
for navigation
metals that exhibit strong magnetic effects are called _____.
ferromagnets
ferromagnetic materials respond strongly to magnets and can also be…
magnetized
ambient magnetization
magnetization process done by long exposure to earth’s magnetism
a metal is ferromagnetic if it can be…
magnetized
the atoms of Fe, Co, and Ni are _____ ______
natural magnet
each natural magnet atom has what two things?
a north and south pole
magnetic dipoles can be found in natural magnet atoms and have ____ _____
magnetic dipole
magnetic dipole vector is drawn from…
south to north
when two atoms are near each other, what happens?
their magnetic dipoles are forced into similar direction
material can be magnetic while also not being a ____
magnet
magnetic domain
region where magnetic dipoles align
in a regular piece of Fe, there can be domains, but that does not mean that the piece of Fe is a magnet. T/F
true
what is the law of poles
opposites attract and like repels
monopoles
singular atom that has only a north or south pole
are magnetic monopoles real?
we do not know since they have never been observed
magnetic force units
newtons, N
magnetic field unit
T
tesla in standard unit
N/(C*m/s)
electric field si units
V/m or N/C
electricity letter sign
E
magnetism letter sign
B
the source of electric fields are … while the source of magnetic fields are…
charges, electric current
what is an electric current?
charge in motion
what is the difference between electric and magentic field sources?
electric field source is a stationary charge while magnetic field source is a charge in motion
magnets are able to attract materials by first doing what to them?
polarizing them
what is the magnetic flux?
the total magnetic field that passes through a given area
what is the normal vector?
vector that goes out from the face of the coil
T/F. The face of a coil is specific and not arbitrarily decided.
F
for there to be magnetic flux, the coil or wire must be placed where?
in an external magnetic field
the maximum flux occurs when the magnetic field vector is _____ to the normal vector.
parallel
flux is 0 when the magnetic field vector is ___ to the normal vector.
perpendicular
at what angle is the flux going to be 0?
90 degrees
at what angle between the normal vector and magnetic field is the flux the maximum and also positive?
0
at what angle between the magnetic field and normal vector is the flux negative and at its’ max?
180 degrees
when the field lines cross from the back to the front, what happens to the flux?
it is positive
when field lines cross from front to back, what happens to the flux?
it is negative
what was oersted’s accidental discovery?
electric currents are sources of magnetic fields
a charged particle in a magnetic can receive a magnetic force if the charge has ____.
velocity
a charged particle in a magnetic field can receive a magnetic force if the velocity it has is…
perpendicular or partially perpendicular to the magnetic field
T/F.only the part of a coil/wire that is exposed to the external magnetic field receives a magnetic force.
T
magnetic force cannot change the ____ of a particle.
speed
magnetic force can change the ____ of a particle.
direction
when is a magnetic force centripetal?
constant velocity
what equation is used when velocity is constant to calculate the magnetic force?
(mass times squared velocity)/radius
right hand rule 1 is used to find what?
direction of magnetic force
how do you do right hand rule 1?
put thumb in direction of velocity and four fingers in the direction of magnetic field. bend four fingers inwards and that is the magnetic force direction
the right hand rule 1 applies to what kind of particle?
positive
what do you do if the particle is not positive?
use rule and do opposite direction of what you get

For these equations, what angle(s) produces no force?
0 and 180 degrees

for these two equations, what angle produces maximum force?
90 degrees or 270 degrees
the greek letter mu with a vector sign on top of it is called what?
magnetic dipole
how is the magnetic dipole directed?
points towards N side of a magnet along magnet axis
the orbital motion of an electron is also a ___ _______.
tiny current
the magnetic dipole with a small subscript that says spin refers to what?
the electron spin that contributes to the magnetic dipole
the magnetic dipole sign(greek mu) with the subscript orbital refers to what?
the orbital motion of the electron that contributes to the magnetic dipole
what contributes more to the magnetic dipole, electron spin or orbital motion of the electron?
electron spin
if the net magnetic dipole is not equal to 0, what does this mean about the atom?
the atom itself is a magnet
for most atoms, the net magnetic dipole is…
0
why is the net magnetic dipole for most atoms 0?
electron spin pairs cancel out
only three atoms show clear N and S at room temperature, what are they?
iron, cobalt, nickel
Fe, Co, and Ni are the three main ferromagnetic metals that show…
magnetic properties at room temp
diamagnetic
not magnetic at all
paramagnetic
develops N and S poles when placed in external magnetic field
T/F. paramagnetic materials retain the N and S poles when removed from the magnetic field.
F, they lose the poles when they leave the magnetic field
ferromagnetic materials
develop N and S poles when placed in magnetic field
T/F. ferromagnetic fields retain north and south poles when removed from magnetic field.
T